Солнечно-земная Физика
проект "СиЗиФ"

Е.E. Антонова, М.Ф. Бахарева, В.Н. Ломоносов, Б.А. Тверской

Ускорительные механизмы в космосе

Учебное пособие НИИЯФ и Физ.фак. МГУ, 1988


Глава 2  Ускорение частиц индукционными электрическими полями при пересоединении магнитных силовых линий


§1. Магнитное пересоединение

Магнитным пересоединением или пересоединением магнитных силовых линий называется течение плазмы,  сопровождающееся изменением  топологии  магнитных  силовых  линий.  Различают случаи  вынужденного  и  спонтанного  пересоединения.  При вынужденном пересоединении движение происходит под действием внешних  сил,  при  спонтанном  -  возникает  как  результат нестабильности системы.            

 Вопрос  о  пересоединении  магнитных  силовых  линий возникает при изучении движений плазмы с большими магнитными числами Рейнольдса

Rem=4πσvAL/c2                                    (2.1)

где s - проводимость плазмы, vA=B0/(4πρ)1/2 - альвеновская скорость, L - характерный масштаб движения, с - скорость света. Большие масштабы космофизических объектов приводят к условию  Rem »1, соответствующему  вмороженности  магнитных силовых линий,  т.е.  очень высокой индуктивности плазмы, приводящей  к  сохранению  магнитного  потока  через  любой движущейся с частицами плазмы контур. При Rem »1 топология магнитных силовых линий сохраняется (они как бы приклеены к частицам   плазмы).   В   космофизических   объектах   часто наблюдаются процессы с достаточно большими L, для которых рассчитанное  по  формуле  (2.1))  с  обычной  кулоновской проводимостью значение Rem »1 (солнечные вспышки, образование плазмоидов  в  хвосте  магнитосферы  Земли  и  др.),  но наблюдается изменение топологии магнитных силовых линий. В этих  областях  неприменимо  описание  плазмы  в  рамках идеальной  магнитной  гидродинамики,  и  их  возникновение связано с образованием МГД разрывов и тонких (по сравнению с L) токовых слоев.                                        

 Токовые  слои  длительное  время  могут  находиться  в метастабильном состоянии и запасать значительное количество энергии.    В   зависимости   от    граничных  условий, электропроводности, теплопроводности и т.д. возможны различ­ные пути эволюции токовых слоев. При разрывах токовых слоев (рис. 2.1) натяжение   перезамкнувшихся магнитных силовых

 

 

Рис. 2.1. Разрыв токового  слоя


линий приводит к энергичному выталкиванию плазмы из области разрыва (образуются нестационарные течения кумулятивного типа), возникают сильные индукционные электрические поля. Энергия,  запасенная в магнитном поле, превращается в тепловую энергию плазмы, энергию направленных плазменных струй и энергию ускоренных частиц.

Токовые слои могут возникать в результате течения плазмы вблизи нулевых и особых (принадлежащих одновременно двум магнитным областям) магнитных силовых линий. На таких линиях электрическое поле,  возникающее при изменениях магнитного поля, вызывает ток вдоль линии, который из-за взаимодействия с магнитным полем принимает форму ленточного токового слоя - квазиодномерного токового слоя, разделяющего противоположно направленные магнитные поля.

Процессы перезамыкания магнитных силовых линий наиболее, полно исследованы в случае двумерной геометрии, где удается провести аналитическое рассмотрение течений плазмы. При этом результаты теории получают хорошее подтверждение при лабораторном   моделировании   процессов   пересоединения. Существует  несколько моделей  процесса  пересоединения, которым отвечают различные постановки задачи и различные условия в области разрыва магнитных силовых линий.  При определенном выборе граничных условий и течений плазмы могут реализоваться стационарные режимы пересоединения. Ламинарные стационарные  режимы  пересоединения,  такие  как  течение Петчека,   в   котором   области   с   пере соединенными   и непересоединенными магнитными  силовыми  линиями разделены стоячими альвеновскими ударными волнами  (на этих волнах происходят резкие повороты магнитных силовых линий),  на пересечении которых находится малая диффузионная область, и решение Соннерапа, в котором вводится в 2 раза большее число ударных волн,  чем в случае решения Петчека, и возможно пересоединение  однородных   магнитных полей, требуют выполнения совершенно определенных  граничных  условий, реализация   которых   имеет   малую   вероятность.   При турбулентном стационарном режиме пересоединения в области пересоединения существует развитая турбулентность. Турбулентный  квазистационарный  режим  пересоединения  во многих случаях связан с превышением током в токовом слое порога одной из токовых неустойчивостей, а параметры области пересоединения могут подстраиваться под заданные граничные условия.  Такой  режим  описывается обычно  введением  в уравнения эффективного аномального сопротивления, намного превышающего  кулоновское  сопротивление,  что  приводит  к соответствующему  уменьшению  Rem .  В  качестве  возможных неустойчивостей  рассматриваются  ионно-звуковая,   ионно-циклотронная и градиентная.   Токовые неустойчивости имеют определенные пороги, поэтому токовые слои могут находиться в спокойном ламинарном  состоянии,  пока  плотность  тока  не превысит  порога  неустойчивости.  Если  это произойдет  на небольшом участке слоя, то образуется область пересоединения и может произойти разрыв токового слоя. Поэтому режим аномального сопротивления может входить составной частью в спонтанные механизмы пересоединения.

     Перестройка топологии магнитного поля может происходить и при возмущениях, длина волны которых сравнима с толщиной токового слоя. Такая неустойчивость называется разрывной или тиринг-модой. Перестройка топологии поля связана  с тем, что притяжение токовых нитей, из которых состоит токовый слой, может привести к их слипанию. При этом магнитная энергия слоя уменьшается, и образуются магнитные острова.  Развитие разрывной неустойчивости в бесстолкновительной плазме обычно связывается с затуханием Ландау на резонансных частицах при выполнении  условия  резонанса  w=kv.  Такое  взаимодействие имеет  место  лишь  в  узкой  области  вблизи  нейтральной плоскости, где магнитное поле обращается в нуль и не влияет на движение  частиц.  В одномерных конфигурациях,  которые абсолютно неустойчивы, основной эффект дает взаимодействие с электронами.    Резонансное  взаимодействие  с  электронами разрушается уже при очень слабых, поперечных к  току,  полях Вn  таких, что гирочастота электронов в поле Вn становится соизмеримой с инкрементом неустойчивости γ. Если электроны замагничены,  то  может  осуществляться  резонанс  Ландау  с ионами и развиваться ионная тиринг-мода (рис. 2.2). При Вn, больших определенного  критического  значения, токовый  слой

 

 

Рис. 2.2. Развитие тиринг-моды в хвосте магнитосферы Земли

устойчив. Т.о., изменяя Вn, можно перевести токовый слой из стабильного  в  нестабильное  состояние.  Такая  ситуация реализуется в хвосте магнитосферы Земли, где имеется токовый слой с током,  направленным с утра на вечер,  и где,  в результате  развития  тиринг-моды,  формируются  плазменные образования  с  замкнутыми  магнитными  силовыми линиями - плазмоиды.  Развитие  ионной  тиринг-моды  при  достаточно сильном Вn оказывается стабилизированным в широком интервале параметров    за  счет  вмороженности  магнитного  поля  в электронную  компоненту.  Затраты  энергии  на  изменение плотности  электронов  при развитии  возмущений  делает  ее нарастание  энергетически  невыгодным. При  этом, динамика неустойчивости оказывается чувствительной к влиянию даже очень малых эффективных столкновений.  Одним из наиболее мощных  дестабилизирующих  эффектов  является  механический резонанс между продольными и поперечными степенями свободы движений электронов. При приближении к области резонанса траектории    электронов    начинают    стохастизироваться, происходит   рассеяние   электронов   по   питч-углам,   что эквивалентно рассеянию при взаимодействии с турбулентностью.

С  процессом  накопления  и  высвобождения  магнитной энергии  в  токовых  слоях  связан,  вероятно,  и  механизм солнечных вспышек. Солнечные вспышки возникают в активных областях  солнечной  атмосферы,  содержащих,  как  правило, солнечные пятна. Магнитная теория вспышек предполагает, что при вспышках выделяется свободная энергия магнитного поля, т.е.  избыток магнитной  энергии по  сравнению с  энергией потенциального поля, имеющей те же источники на фотосфере. Этот избыток магнитной энергии связан с токами, протекающими в короне, а процесс вспышек есть процесс быстрого изменения этих токов.

При   распаде   токового   слоя   происходит   быстрая аннигиляция   магнитного   поля,   и   возникают   сильные индукционные  электрические  поля,  в  которых  происходит ускорение  частиц.  При  этом,  характерная  конфигурация магнитного поля   имеет форму  сингулярной нулевой линии гиперболического  типа  или X-линии  (рис.  2.2).  Ниже  мы рассмотрим ускорение частиц в окрестности нулевой линии магнитного поля при развитии тиринг-моды в качестве примера действия данного типа ускорительных механизмов.


§2. Ускорение частиц индукционным электрическим полем в окрестности Х-линии при развитии тиринг-моды

    Рассмотрим процесс ускорения в простейшей двумерной задаче, не учитывающей конечность длины Х-линии, т.е. будем

считать,  что  размер  области,  вдоль  которой  происходит ускорение,  меньше  длины  Х-линии.  Частица  проводит   в окрестности Х-линии, где она может свободно ускоряться лишь конечное время τA, а затем под действием слабой, но конеч­ной, силы Лоренца, она выходит из нее, и набор ею энергии замедляется.  Применительно  к  магнитосфере  Земли  данная, модель хорошо описывает ускорение ионов.  Для электронов время их жизни в области ускорения контролируется общей дли­ной Х-линии. Решение задачи о динамике токового слоя  приво­дит к изменению напряженности вертикальной составляющей маг­нитного поля B^(t)sinkx со временем в соответствии с зависи­мостью показанной на рис. 2.3.  На линейной фазе от  t=0  до

Рис.2.3. Схема роста нормальной компоненты магнитного поля
b(t)=B^(t)/B0 со временем при развитии тиринг-моды в нейтральном токовом слое: I -  линейная фаза, II - нелиней­ная взрывная  фаза,  III -фаза насыщения

t=t0 нормальная к слою компонента поля растет по экспоненте

b1L(t)= B^ (t)/B0x=b0(t)exp(γLt, (2.1)

где γL - инкремент неустойчивости, определяемый шириной слоя, температурами  электронов  и  ионов и величиной волнового вектора, Bz - перпендикулярная к слою компонента поля, B0x - горизонтальная  компонента  магнитного  поля  вне  слоя.  С момента t0 наступает нелинейная фаза

                                                (2.2)

 

где b*=b0exp(γLt0), τR - время взрыва. Нелинейная фаза заканчивается  насыщением  неустойчивости  при  b1(t)≈1.  В системе координат с осью х вдоль слоя с током, направленным вдоль оси у, и осью z направленной поперек слоя в области близкой к точке разрыва

B^(t)sinkxBz(t)kx, |B0|=|B0th(z/Δ)exB0xz/Δ|,    (2.3)

где Δ - толщина слоя. В0 - невозмущенное поле, имеющее зависимость от z,

соответствующую равновесию Харриса. Вектор потенциал A= Aey (B=rotA, E=-c-1 дA/дt) такого

 поля равен

 

A=B0x[k-1b1(t)(1-0.5k2x2)-Δ-1z2] .                   (2.4)

Уравнения движения частицы, с учетом сохранения обобщенного:

импульса вдоль оси у, имеют вид

 

xtt = ωcb1(t)kυy(t)x,                                                                  (2.5)

 

υy(t) – k-1ωcb1(t) – 0,5ωc[b1(t)kx2 – Δ-1z2] = const                  (2.6)

 

ztt = -  ωcυy(t)z/ Δ,                                                                    (2.7)

 

где ωc =еВ0x/mc  (e, m - заряд и масса иона).  В области -     -k-1<z<k-1  в уравнении   сохранения обобщенного импульса (2.6) можно пренебречь третьим слагаемым в левой части. Т.к. ускорение  частиц происходит в основном вдоль  оси у,  а приобретаемая в электрическом поле индукции энергия частиц много больше тепловой, можно положить

vy(0)=0. Из уравнений (2.5), (2.7) следует, что движение по оси х неустойчиво, а по оси z устойчиво. Размер коридора dz , в котором колеблется частица между отражавшими слоями по z, порядка ларморовского радиуса частицы в магнитном поле на краях коридора, т.е.

 откуда  При сделанных предположениях движение  по  координате  х  описывается уравнениями

, при 0<t<t0

   , при  t0<t< t0R .                (2.9)                                                     

Заменой переменной τ=exp(γLt) уравнение (2.8) сводится к уравнению

 

            ,                 (2.10)

решением которого являются модифицированные функции Бесселя I0() и   К0τ),   где   Acb0L. Напомним, что dI0(ξ)/dξ=I1(ξ), dK0(ξ)/dξ=-K1(ξ) и

I0(ξ)K1(ξ)+ I1(ξ)K0(ξ)=-ξ-1, поэтому

   при 0<t<t0.         (2.11)

 

Уравнение (2.9) сводится заменой ζ=1-(t-t0)/τR  к уравнению

            ,                                 (2.12)

решениями которого являются ζ0.5±α, где α=[0.25+(ωcb*τR)]1/2.  Поэтому  решение  уравнения  (2.9) дается выражением

  при      при  t0<t< t0R.          (2.13)

Вне области –k-1<x<k-1 ускорение малоэффективно и частицы движутся по дрейфовым траекториям.

 

 

§3. Функция распределения частиц

Если известны решения уравнений движения, то функция распределения частиц в момент  t  - f(r,rt,t)  связана с функцией распределения f1 в момент t1<t соотношением

      (2.14)

где D(r1,r1t)/D(r,rt) - якобиан преобразования от начальных координат и скоростей к конечным. Уравнения движения по осям x,y,z в данном случае не зависимы друг от друга, поэтому

D(r1,r1t)/D(r,rt) =DxDyDz ,                                           (2.15)

 

где Di=(дх1i/дхi)(дх1ti/дхit) - (дх1i/дхit)(дх1ti/дхi), и для функции распределения вдоль оси     (2.16)

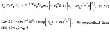
Прямой   подстановкой   можно   убедиться,   что   якобиан преобразования и на линейной и на нелинейной фазах равен 1. Полагая начальное распределение частиц максвелловским,  и учитывая, что при больших ξ  Iν(ξ)=exp(ξ)/(2π ξ)1/2, получаем при больших t  (AexpLt)»1) на линейной фазе

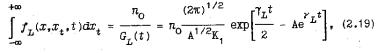
Проинтегрировав  (2.17)  и  (2.18)  по  скоростям,  можно:

получить, что в области ускорения концентрация частиц на линейной фазе равна

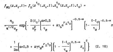
а на нелинейной фазе

                                      (2.20)

где GL, GNL - функции убывания частиц. Плотность частиц убывает в области ускорения за счет того, что сила Лоренца выбрасывает частицы из области вблизи x=0.

 

 

§4. Спектр ускоренных частиц

Рассмотрим теперь  вопрос  об  энергетическом  спектре ускоренных  частиц.  Из  выражения  (2.6)  получаем  энергию частиц, ускоренных вдоль нейтральной линии

                       (2.21)

В  пренебрежении  начальными   скоростями все   частицы, оставшиеся к моменту t невылетевшими из области ускорения, имеют одинаковую энергию, и их спектр имеет вид

                      (2.22)

где δ(ξ) - дельта-функция, т.е. спектр имеет форму узкого горба, высота которого падает со временем (рис. 2.4.).

Рис. 2.4.  Формирование энергетического спектра ускоренных частиц при развитии тиринг-моды.  Нижняя   часть рисунка -  динамика спектра частиц,  находящихся непосредственно  в  области ускорения, в верхней - вылетевших частиц    

      Спектр, вылетевших из области ускорения частиц формируется по мере убывания частиц в области ускорения и имеет максимальную энергию в момент времени t, равную ε0b21(t). Форма их спектра

 (2,23)

где функция убывания выражена через энергию частиц. Подставляя в соотношение (2.19)   , а   в соотношение (2.20) , получаем

          (2.24)

  (2.25)

Спектр частиц при больших ε на линейной и нелинейной фазах имеет вид    

                                  (2.26)   

                     

где θ(ξ)=0 при ξ<0 и θ(ξ)=1 при ξ>0 - ступенчатая функция Хевисайда. По окончании линейной фазы на спектре формируется

излом при ε*0b*2 (рис. 2.4). Однако, так как линейная фаза быстро переходит в нелинейную, такой излом трудно заметить на эксперименте.

Из-за дрейфа в скрещенных полях в область ускорения постоянно осуществляется подток частиц сверху и снизу. Можно показать, что учет этого эффекта изменяет форму спектра в области  малых  энергий,  где  его  форма  будет  даваться зависимостями

                                                      (2.28)

Рассмотренные  процессы  хорошо  описывают  всплески. энергичных  частиц  в  хвосте  магнитосферы  Земли.   На эксперименте событиям  данного  типа  отвечает  обратная дисперсия  по  скоростям,  когда  первоначально  наблюдаются частицы малых, а затем больших энергий.

Характер спектра ускоренных частиц зависит от закона, по  которому  амплитуда  магнитного  поля  изменяется со временем.  Форма спектра  крайне  чувствительна  к  режиму процесса  пересоединения.   На  линейной  фазе   в  нашем рассмотрении  спектр  имеет  экспоненциальный  вид,  а  на нелинейной - степенной, при этом, форма спектра зависит и от сорта ускоряемых частиц. При анализе действия ускорительных механизмов данного типа, как правило, их рассматривают как первоначальную  стадию процесса  ускорения.  Сформированный данным  механизмом  спектр  удается  наблюдать  только  в непосредственной  близости  от  области  ускорения,  т.к. дальнейшая эволюция функции распределения может быть связана с действием бетатронного механизма или ускорения на ударных волнах.



вперед, гл.3   назад, гл.1   оглавление   литература  
  
   другие обзоры

SiZiF Co, НИИЯФ МГУ 2002.
Для связи: lll@srd.sinp.msu.ru (lll=LLL)