|
1. ВВЕДЕНИЕ
Под космическими лучами (КЛ) обыкновенно понимаются потоки заряженных
релятивистских частиц, начиная от протонов и ядер гелия и кончая ядрами более тяжёлых
элементов вплоть до урана, рождённых и ускоренных до высоких и предельно высоких (вплоть
до 1020 эВ) энергий вне пределов Земли. При этом в потоке частиц с энергией до 109 эВ
доминирует вклад Солнца, а частицы более высоких энергий имеют галактическое (и, возможно,
при самых высоких энергиях экстрагалактическое) происхождение.
Естественно, что протоны и
ядра не исчерпывают всего многообразия излучений, приходящих на Землю из космического
пространства. Однако вопросы, связанные с исследованием других компонент, входящих в состав
космического излучения: электронов, позитронов, антипротонов, нейтрино, гамма-квантов, а
также различных электромагнитных излучений, здесь не освещаются.
В составе галактических космических лучей (ГКЛ) преобладают протоны, на долю
остальных ядер приходится менее 10%. Протоны остаются доминирующей компонентой, по
крайней мере, до энергий ~1ТэВ, хотя доля ядер возрастает с увеличением энергии частиц. На
рисунке 1 относительная распространённость ядер в КЛ сравнивается с представленностью
элементов в солнечной системе (Simpson, 1997). В целом наблюдается подобие, за двумя
исключениями: группа Li, Be, B и элементы от Cl до Mn.
Рис. 1 Представленность элементов. Тёмные точки – КЛ, светлые – Солнечная система.
Как видно из рисунка, в составе ГКЛ содержание лёгких ядер (с зарядом Z от 3 до 5) на
несколько порядков превосходит их содержание в звёздах. Кроме того, ГКЛ характеризуются
значительно большим присутствием тяжёлых ядер (Z>20) по сравнению с их естественной
распространённостью. Аномально высокая представленность этих элементов связана с
дополнительным вкладом от расщепления более тяжёлых элементов в межзвёздной среде. Оба
эти фактора весьма существенны для выяснения вопроса о происхождении ГКЛ.
Солнце также является источником КЛ, и потоки солнечных космических лучей (СКЛ),
особенно во время солнечных вспышек, могут достигать очень больших значений, однако
характерная величина их энергии, как правило, не превосходит 109эВ, тогда как ГКЛ
распределены в очень широком диапазоне энергий от 109 до 1020 эВ. Поэтому разделение КЛ на
галактические и солнечные отражает существо дела, поскольку как характеристики, так и
источники СКЛ и ГКЛ совершенно различны. При энергиях ниже 10 ГэВ/нуклон интенсивность
ГКЛ, измеряемая вблизи Земли, зависит от уровня солнечной активности (точнее, от
меняющегося в течение солнечных циклов магнитного поля).
В области более высоких энергий интенсивность ГКЛ постоянна во времени. Согласно
существующим представлениям, собственно ГКЛ заканчиваются в области энергий между 1017 и
1018 эВ. Поэтому при энергиях выше 1018 эВ более правильно использовать обозначение просто
КЛ, поскольку происхождение космических лучей предельно высоких энергий, скорее всего, с
Галактикой не связано. Наблюдаемый дифференциальный энергетический спектр КЛ (Cronin,
1999) показан на Рис.2. Спектр описывается степенным законом в очень широком диапазоне
энергий от 1011 до 1020 эВ с небольшим изменением наклона около 3·1015эВ (излом, иногда
называемый коленом, knee) и около 1019эВ (ankle, лодыжка). Интегральный поток КЛ выше
лодыжки равен приблизительно 1 частице на км2 в год.
Рис.2 Энергетический спектр космических лучей.
Степенной характер энергетического спектра КЛ свидетельствует о нетепловом происхождении
их энергии, а это, в свою очередь, налагает определённые требования на источники КЛ, которые
должны обеспечить формирование степенного энергетического спектра. Максимальная энергия
частиц КЛ, которая была зарегистрирована по наблюдениям широких атмосферных ливней,
составляет 3.1020эВ и существует более 10 событий, энергия которых >1020эВ. Такие энергии
вряд ли могут быть обеспечены источниками, находящимися в нашей Галактике. В то же время
взаимодействие КЛ предельно высоких энергий с реликтовым излучением с температурой 2.75ºК
ограничивает диапазон расстояний, с которого могли бы приходить частицы с такими энергиями,
областью местного сверхскопления галактик, а в нём, как и в нашей Галактике, также нет
объектов, могущих обеспечить ускорение до столь высоких энергий. Эта проблема привлекает
пристальное внимание исследователей, и для её решения создаются установки, обладающие
огромными чувствительными площадями, поскольку интенсивность частиц предельно высоких
энергий крайне мала (см. Рис. 2).
Плотность энергии, несомой космическими лучами, составляет ~1эВ /cм3, наибольший
вклад в эту величину из-за круто падающего спектра вносят частицы сравнительно малых
энергий. Между тем существенно, что величина плотности энергии ГКЛ оказывается сравнимой
с плотностью энергии теплового движения межзвёздного газа и его турбулентных движений, с
плотностью суммарного электромагнитного излучения звёзд нашей Галактики и с плотностью
энергии, заключённой в магнитном поле Галактики. Это означает, что роль ГКЛ в
энергетическом балансе протекающих во Вселенной процессов достаточно велика, и это
обстоятельство должно быть учтено теорией происхождения космических лучей (Астрофизика
КЛ, 1990).
Поток ГКЛ характеризуется высокой степенью изотропии. Значения коэффициента
анизотропии вплоть до 1014эВ не превосходят 0.1%, при дальнейшем увеличении энергии
коэффициент анизотропии КЛ возрастает и достигает нескольких десятков процентов при
энергиях >1019эВ, однако статистическая значимость экспериментальных результатов в области
сверхвысоких и предельно высоких энергий (1015–1020 эВ), как правило, невелика.
Теория происхождения ГКЛ, которую можно было бы назвать вполне завершённой, в
настоящее время отсутствует, в особенности, если иметь в виду происхождение ГКЛ
сверхвысоких энергий (>1015 эВ), хотя в течение последних 10–15 лет в понимании общего
характера процессов, в которых появляются и ускоряются космические лучи, и был достигнут
существенный прогресс. Законченная теория происхождения ГКЛ должна объяснить основные
характеристики ГКЛ: степенную форму энергетического спектра, величину плотности энергии,
массовый (химический) состав первичных КЛ, включая данные о потоках антипротонов,
электронов, позитронов, гамма-квантов, практическое постоянство во времени интенсивности
ГКЛ и очень слабую их анизотропию. Ещё в конце 1950-х годов энергетические соображения
(Гинзбург и Сыроватский, 1963) привели к заключению, что источником ГКЛ (по крайней мере,
основной их массы) следует считать взрывы сверхновых в нашей Галактике. Количественная
теория преобразования энергии взрыва сверхновой в энергетический спектр космических лучей
путём ускорения заряженных частиц ударными волнами в расширяющихся оболочках
сверхновых начала развиваться в конце 1970-х годов (Крымский, 1977) и к настоящему времени
стала общепринятой, хотя и не получила ещё окончательного экспериментального
подтверждения. Эта теория позволяет описать формирование степенного спектра ГКЛ вплоть до
энергий ~1015.Z эВ, где Z – заряд ускоряемого иона, и даже до ~1017.Z эВ (Ptuskin and Zirakashvili,
2005) при учёте большой магнитогидродинамической турбулентности, возникающей из-за
неустойчивости потока КЛ на ранней стадии эволюции сверхновой, но нужны дополнительные
усилия, чтобы понять, каким образом происходит ускорение частиц вплоть до энергий 1020 эВ.
Энергетический спектр ГКЛ и их массовый состав, наблюдаемые вблизи Земли,
образуются в результате трансформации за время прохождения от источников, распределённых,
в основном, в пределах центральной части галактического диска, до солнечной системы,
расположенной на периферии Галактики. Поскольку в Галактике существуют как регулярные,
так и случайные магнитные поля, характерное значение напряжённости которых составляет
~3.10-6 Гс, частицы ГКЛ распространяются по весьма запутанным траекториям, и их движение
может быть в хорошем приближении описано как диффузия. Основные аргументы в пользу
наличия диффузии связаны с почти полной изотропией потока ГКЛ и наличием в потоке ГКЛ
лёгких ядер (Li, Be, B) в количествах, в сотни тысяч раз превышающих их распространённость в
Галактике. Время жизни ГКЛ, т.е., время их пребывания в Галактике, равно ~3.107 лет, что на 4
порядка превышает время, необходимое для пересечения Галактики при движении по прямой. За
это время пробег ядер средних элементов (C, N, O) составит 5 –10 г/см2 в межзвёздном газе, что
достаточно для образования лёгких ядер. Время жизни ГКЛ и количество проходимого ими
вещества уменьшаются с ростом энергии частицы; частицы предельно высоких энергий
диффузии практически уже не испытывают.
Энергетический спектр и массовый состав ГКЛ могут быть измерены либо
непосредственно, т.е., в результате прямой регистрации частиц ГКЛ в экспериментах,
осуществляемых на баллонах и спутниках, либо с использованием косвенных методов,
основывающихся на исследовании характеристик широких атмосферных ливней (ШАЛ),
возникающих в результате развития каскадного процесса в атмосфере. Преимущество метода
ШАЛ состоит в том, что некоторые компоненты ливня могут быть зарегистрированы на очень
больших расстояниях от траектории первичной частицы, генерировавшей ШАЛ (вплоть до
десятков километров при регистрации флуоресценции, создаваемой заряженными частицами
ливня в атмосфере), чем достигается огромное увеличение эффективной плошади регистрации
события. Это позволяет преодолеть неизбежную ограниченность статистики, присущую прямым
экспериментам и не позволяющую использовать их для изучения ГКЛ выше определённого
энергетического порога, зависящего от геометрического фактора детектора. В настоящее время
рекордной является величина энергии, достигнутой в экспериментах на спутниках серии
«Протон» (1968) и составляющей ~ 2.1015 эВ. Для большинства прямых экспериментов этот порог
пока существенно ниже, так что граница между прямыми и косвенными экспериментами
проходит между энергиями 1014–1015 эВ. Однако платой за использование преимуществ
косвенных методов является необходимость определять энергию и массовое число первичной
частицы по результатам развития каскада в атмосфере, что связано со значительной
неопределённостью даже в том случае, если точно известно, каким образом происходит
элементарный акт взаимодействия. Между тем наши сведения относительно адрон-нуклонных
взаимодействий ограничены энергией 2.1015 эВ (эквивалентная энергия Тэватрона в
лабораторной системе). Одновременно следует подчеркнуть, что та же неопределённость была
бы присуща и экспериментам, осуществляемым с использованием ионизационных калориметров
на спутниках и баллонах, если бы эти эксперименты были нацелены на область энергий, для
которой отсутствуют экспериментальные данные относительно адрон-нуклонных
взаимодействий.
2. МЕТОДЫ ИССЛЕДОВАНИЯ КОСМИЧЕСКИХ ЛУЧЕЙ
Из-за большой протяжённости спектра КЛ по энергии и из-за его круто падающего характера
необходимо использовать различные методы измерений.
2.1 Прямые методы
Экспериментальное исследование ГКЛ прямыми методами предполагает возможность
непосредственного измерения заряда и энергии первичных частиц. Как уже упоминалось во
Введении, верхняя граница энергетического диапазона, внутри которого в настоящее время
возможно применение прямых методов, составляет примерно 1015 эВ. Эта граница определяется,
исходя из естественного требования достижения минимально приемлемой статистической
точности за разумное время осуществления эксперимента. Хотя эта величина много меньше, чем
верхняя граница спектра КЛ (~ 1020 эВ), однако и в этом случае энергетический диапазон, в
котором проводятся исследования прямыми методами, простирается на 5 порядков, что приводит
к необходимости использовать различные методы измерения заряда и энергии (или импульса)
первичных частиц.
Как известно, магнитное поле Земли может служить анализатором магнитной жёсткости
частиц, что позволило в прошлом получить первую информацию относительно энергетического
спектра ГКЛ в области приблизительно до 10 ГэВ. Интервал от 10 ГэВ до 1015 эВ исследовался
при помощи фотоэмульсий, ионизационных калориметров, магнитных спектрометров,
рентгеноэмульсионных камер и некоторых других приборов, устанавливаемых на спутниках или
поднимаемых на баллонах.
Ионизационный калориметр представляет собой достаточно толстый блок вещества,
прослоенный детекторами ионизации, что позволяет, используя показания детекторов,
определять полную ионизацию, создаваемую каскадом, генерированным первичной частицей, и
затем найти первичную энергию, используя либо моделирование каскадного процесса, либо
калибровки ионизационного калориметра на ускорителе. В идеале ионизационный калориметр
должен полностью поглотить весь каскад, создаваемый первичной частицей в веществе. Однако
при размещении ионизационного калориметра на спутнике или баллоне такое требование
нереализуемо, так что калориметр непосредственно может измерять лишь часть энергии
первичной частицы, в связи с чем ошибки в измерении энергии возрастают с ростом энергии
частицы. Ионизационный калориметр может существовать в фотоэмульсионном варианте, а
также представлять собой сочетание слоёв рентгеноэмульсионной плёнки, используемой как
детектор ионизации, измеряемой по оптической плотности почернения плёнки, со слоями
поглотителя; возможно также использование полупроводниковых детекторов ионизации. Если
толщина калориметра мала, так что имеется лишь 1-2 слоя детекторов ионизации, то калориметр
превращается в так называемую толчковую установку (толчком называется всплеск ионизации в
детекторе при прохождении лавины заряженных частиц). В отличие от калориметров, толчковые
установки позволяют измерять лишь число заряженных частиц в максимуме каскада, а не полную
ионизацию, создаваемую каскадом.
Для измерения заряда первичной частицы, как правило, применяются специальные
детекторы. Эти детекторы используют то обстоятельство, что как ионизационные потери, так и
потери на черенковское излучение пропорциональны Z2 – квадрату заряда первичной частицы.
Это позволяет осуществить разделение по Z либо по величине ионизационных потерь частицы,
либо по потоку черенковского излучения, создаваемому частицей (черенковский счётчик).
Исследования в космическом пространстве были начаты в 1960-ые годы Григоровым с
сотрудниками в экспериментах на спутниках серии «Протон» (Бугаков и др, 1970).
В этих экспериментах заряд и направление движения частицы определялись с помощью
черенковских счётчиков с плексигласовыми радиаторами, а для определения энергии
использовался ионизационный калориметр (Рис. 3), содержащий 140 г/см2 Pb и 855 г/см2 Fe в
качестве поглотителя между 16 слоями ионизационных камер (до настоящего времени этот
калориметр остаётся рекордным по весу и светосиле).
Рис. 3 Принципиальная схема спектрометра ИК-15 для изучения частиц космических лучей
высокой энергии; М – сменные графитовые и полиэтиленовые мишени, ЧС – черенковские
счётчики, ТМ – тонкие мишени из графита, ДН – детекторы заряда и направления частиц, ИК –
ионизационные камеры, ПС – пропорциональные счётчики.
В экспериментах на спутниках серии «Протон» был измерен энергетический спектр всех
частиц при энергиях 1011–1015 эВ и отдельно спектры протонов и α-частиц.
Продолжившееся в последующие годы развитие технологий привело к осуществлению
трёх крупных экспериментов в космосе: HEAO-3, СОКОЛ и CRN, в которых были измерены
спектры до энергий ~1ТэВ/нуклон для элементов вплоть до железа. Балонные эксперименты
были начаты в 1970-ые годы для измерения спектров различных элементов при энергиях выше
100ГэВ/нуклон. В связи с развитием метода эмульсионных камер стали возможными длительные полёты,
обеспечивающие большую экспозицию. Были выполнены серии экспериментов: MUBEE, JACEE,
RUNJOB. Типичная эмульсионная камера, используемая для прямых измерений КЛ и их
взаимодействий наверху атмосферы коллаборацией JACEE (Asakimori, 1998), показана на Рис. 4.
>
Эта камера предназначалась для измерения первичного состава при экспонировании выше
99,5% атмосферы. Верхняя часть камеры состоит из слоёв чувствительной эмульсии,
разделённых слоями пластика. Заряд падающего первичного ядра измеряется до его
взаимодействия по степени потемнения трека в эмульсии. Средняя часть камеры предназначена
для прослеживания треков с минимальной вероятностью взаимодействия. Это позволяет трекам
достаточно разойтись, так, чтобы каскады, генерированные за счёт взаимодействий в
калориметрической части камеры, могли быть индивидуально измерены.
Рис. 4 – Эмульсионная камера в эксперименте JACEE.
Существенные
элементы калориметра – это рентгеновские плёнки и свинцовые пластины. Электромагнитные
каскады, порождённые или непосредственно электронами или фотонами, или фотонами от
распада π0-мезонов, развиваются быстро в свинце, и их энергия может быть определена путём
суммирования измерений почернения в слоях рентгеновской плёнки вдоль каждого каскада.
Характеристики ряда экспериментов в космосе и на баллонах а также данные о
планируемых в будущем экспериментов суммированы в Таблице 1 (Wefel, 2003).
Табл.1 Эксперименты по исследованию спектров и химсостава галактических космических
лучей
| Эксперимент,
Годы
проведения | Ядро | Методика | Энерг.диапазон,
эВ | Геом.
фактор,/м2.ср | Фактор
экспозиции
/м2.ср.день |
| Космические аппараты |
Протон 1-4
1965-1968 | Все ядра,
H, He | калориметр | 1011 - 1015 | 0.05 - 10 | 5 - 2000 |
HEAO-3
1979-1980 | 16≤Z≤28 | ионизация/черенковские | 3.1010 - 1013 | 1.2 | 370 |
HEAO-3
1979-1980 | 4≤Z≤28 | черенковские детекторы | 3.1010 - 2.1012
| 0.14 | 33 |
CRN Spacelab2
1985 | 5≤Z≤26 | Детекторы переходного излучения | 7.1011 - 3.1013
| 0.1- 0.5 0.5 -0.9 | 0.3 -3 |
СОКОЛ (Космос)
1984-1986 | 1≤Z≤26 | калориметр | 2.1012 - 1014 |
0.026 | 0.4 |
| Аэростаты |
Ryan et al
1969-1970 | 1≤Z≤26 | калориметр | 5.1010 - 2.1012 |
0.036 | 0.01 |
| JACEE | 1≤Z≤26 | эмульсионная
камера | 1012 - 5.1014 | 2-5 |
107(H,He) 65(Z>2) |
MUBEE
1975-1987 | 1≤Z≤26 | эмульсионная камера | 1013 - 3.1014
| 0.6 | 22 |
RUNJOB 1995-1999 | 1≤Z≤26 | эмульсионная камера |
1013 - 5.1014 | 1.6 | 43 |
ATIC Antarctic 2000-2001 | 1≤Z≤28 | калориметр |
1010 - 1014 | 0.23 | 3.5 |
ATIC Antarctic 2002-2003 | 1≤Z≤28 | калориметр |
1010 - 1014 | 0.23 | 6.9 |
TRACER 2004-2005 | 1≤Z≤28 | детекторы переходного излучения | 1011 - 3.1014 |
5 | 70 |
CREAM 2004-2005 | 1≤Z≤28 | детекторы переходного излучения/калориметр | 1012 - 5.1014 |
1.4 -0.35 | 35 - 140 |
| Новые эксперименты |
| Космические аппараты |
| ACCESS | | детекторы переходного излучения | 1013 - 5.1015 |
7 - 12 | 7000 - 12000 |
| (CSTRD) | | калориметр | 1012 - 1015
| 0,9 | 900 |
| PROTON-S | | калориметр | 1012 - 3.1016 |
18 | 18000 |
| INCA | | нейтронный калориметр | 1014
- 1016 | 48 | 48000 |
| AMS | | сверхпроводящий
| 1010
- 1013 | 50 | 50000 |
На рис. 5 представлена принципиальная схема прибора эксперимента AMS (Casaus et al,
2003).
Рис. 5 Принципиальная схема прибора AMS.
При рассмотрении результатов по измерению спектров и состава ГКЛ прямыми методами
(см. далее в тексте) очевидны статистические ограничения данных, так что качественное и
количественное улучшение экспериментальной ситуации необходимо. C учётом падающего
характера энергетического спектра ГКЛ, приводящего к резкому падению интенсивности потока
ГКЛ с увеличением энергии регистрируемых частиц, детектор площадью 1 м2 на границе
атмосферы зарегистрирует около 100 событий в год с энергией > 1015 эВ. Отсюда следует
заключение, что энергия ≈ 1015 эВ отделяет область энергий, в которой возможно использование
прямых методов, от области сверхвысоких энергий, где в настоящее время можно рассчитывать
на использование только косвенных методов.
2.2 Косвенные методы
Возможность получать информацию о ГКЛ сверхвысоких энергий обусловлена
существованием земной атмосферы, в которой первичная частица развивает адронно-
электромагнитный каскад, состоящий из большого числа вторичных частиц и называемый
широким атмосферным ливнем (ШАЛ). Это название связано с тем, что вторичные частицы,
возникающие в результате взаимодействий и распадов, могут быть зарегистрированы на
достаточно больших расстояниях от оси ШАЛ – прямой, совпадаюшей с направлением движения
первичной частицы. В зависимости от первичной энергии регистрация ШАЛ может происходить
на расстояниях порядка сотен и даже тысяч метров от оси, так что эффективная площадь может
достигать десятков квадратных километров. Всё это позволяет изучать ШАЛ при помощи
системы изолированных детекторов, размещаемых так, чтобы охватить возможно большую
площадь (Христиансен и др, 1975).
Для реализации метода ШАЛ требуются детекторы большой площади, рассчитанные на
длительную экспозицию, что обусловлено малостью потока частиц таких энергий. Наиболее
распространённый путь – это строить на поверхности земли установки, которые могут
охватывать площади, измеряемые квадратными километрами, и эксплуатироваться годами.
Метод ШАЛ до настоящего времени остаётся наиболее светосильным методом получения
сведений о ПКЛ с энергией более 1015 эВ. Именно этим методом вплоть до самых больших
наблюдённых энергий ~ 3.1020 эВ получено большинство данных об основных характеристиках
ПКЛ: энергетическом спектре, массовом составе и анизотропии (Kalmykov and Khristiansen,
1995).
Исторически первым методом, использованным для исследования ШАЛ, был метод
детектирования ШАЛ путём регистрации потоков заряженных частиц, и вследствие
относительной простоты широко распространён и в настоящее время. Свойства ШАЛ и
методические вопросы подробно описаны в обзоре Грейзена (1958), до сих пор не утратившем
своего значения.

Основу ШАЛ составляет адронный каскад в атмосфере, развивающийся от первичной
частицы – протона или ядра (Рис.6), провзаимодействовавшей на границе атмосферы.
Рис. 6– Схема развития ШАЛ (Haungs, 2003).
По мере развития каскада образуются другие компоненты ШАЛ – электронно-фотонная
компонента, мюонная, а также возникающие в результате прохождения заряженных частиц через
атмосферу оптические излучения (черенковское и флуоресцентное). Наиболее многочисленными
среди заряженных частиц ШАЛ являются электроны, к которым принято относить и позитроны.
Количество мюонов составляет примерно 10% от числа электронов (при числе электронов
Ne ≈105–106). Число гамма-квантов примерно вдвое превосходит число электронов, а адроны
составляют ~1% от полного числа частиц в ШАЛ.
Развитие ливня в атмосфере происходит таким образом, что число частиц в ШАЛ сначала
увеличивается, затем достигает максимума, а далее уменьшается по мере того, как энергия всё
большего числа частиц падает ниже порога для дальнейшего образования частиц. Частицы ШАЛ
образуют тонкий диск релятивистских частиц. Адроны высокой энергии, составляющие ствол
ШАЛ, подпитывают электромагнитную часть ливня, в основном, фотонами от распада
нейтральных пионов. Нуклоны и другие адроны высокой энергии дают вклад в адронный каскад.
Заряженные пионы и каоны более низкой энергии распадаются, давая вклад в мюонную
компоненту. (Соотношение между распадом и взаимодействием зависит от энергии и глубины в
атмосфере.)
При каждом адронном взаимодействии несколько более трети энергии переходит в
электромагнитную компоненту. Так как большинство адронов взаимодействует неоднократно,
б?льшая часть первичной энергии постепенно переходит в электромагнитную компоненту.
Тормозное излучение фотонов электронами и позитронами, а также генерация электрон-
позитронных пар фотонами приводят к быстрому размножению частиц в электромагнитных
каскадах, так что число электронов и позитронов в ливне нарастает. После прохождения ливнем
максимума число электронов и позитронов начинает уменьшаться, поскольку из-за дробления
энергии между частицами их характерная энергия становится ниже критической (Ес~80МэВ),
после чего электроны и позитроны быстро теряют оставшуюся энергию на ионизацию. Поэтому
большая часть энергии ливня окончательно диссипирует за счёт ионизационных потерь
электронов и позитронов. За исключением небольшой доли F(E0) энергии, уносимой мюонами и
нейтрино, первичная энергия Е0 определяется суммарной длиной траекторий всех электронов в
атмосфере (track length integral):
где N(x) – число заряженных частиц в ливне на глубине x (измеренной вдоль оси ливня) и α–
энергетические потери на единицу длины пути в атмосфере.

Пример установки для изучения ШАЛ приведен на Рис. 7.
Наряду с регистрацией ШАЛ по потоку заряженных частиц получили широкое
распространение также методы детектирования ШАЛ, основанные на регистрации
сопутствующих ШАЛ оптических излучений - черенковского излучения и ионизационного
свечения или флуоресценции.
Рис. 7– Установка KASCADE (Klages et al, 1997).
Существенно, что потоки как черенковского света, так и флуоресценции определяются, в
основном, характеристиками электронно-фотонных каскадов, которые могут быть рассчитаны с
лучшей точностью, чем характеристики адронных каскадов, и поэтому потоки черенковского
излучения и флуоресценции в меньшей степени подвержены модельной зависимости. Это
является важным преимуществом, хотя реализация метода предполагает работу установки только
в ясные безлунные ночи, что уменьшает реальное время эксперимента до 5-10% от
астрономического. Детекторы флуоресценции являются существенной частью установки Pierre
Auger и при первичной энергии ~ 1020 эВ позволяют регистрировать прохождение ШАЛ на
расстоянии до 40 км от детектора. Разрабатываются проекты, предусматривающие регистрацию
флуоресценции, создаваемой ШАЛ в атмосфере, на установках космического базирования.
Интересные данные, существенные для определения массового состава ГКЛ, даёт
изучение адронной компоненты ШАЛ. Однако потоки адронов существенно уступают потокам
электронной и мюонной компонент, а аппаратура, необходимая для регистрации адронов,
достаточно сложна (ионизационный калориметр) и дорога, поэтому адронная компонента на
современных установках для регистрации ШАЛ изучается редко.
Представляется перспективным использование в составе установок ШАЛ
рентгеноэмульсионных камер большой площади до ~1000 м2 (Рис. 8), как в эксперименте
«Памир» (Байбурина и др., 1984), для измерения высокоэнергичной центральной части ШАЛ,
позволяющих регистрировать ТэВ-ные частицы с пространственным разрешением 300 мкм.
Рис. 8 Схема использования рентгеноэмульсионной камеры (Kempa, 1997).
Чтобы получить сведения о первичных КЛ из данных ШАЛ, необходим комплексный
подход, обеспечивающий нахождение возможно большего числа характеристик в каждом ливне.
Одновременная регистрация мюонной компоненты наряду с электронной даёт возможность
извлечь информацию о массовом составе первичного излучения. Для этой же цели можно
использовать информацию о продольном развитии электронно-фотонного каскада в атмосфере, а
также о функциях пространственного распределения тех или иных компонент.
Использование ШАЛ для определения энергетического спектра и массового состава ГКЛ
неизбежно связано с необходимостью восстанавливать параметры первичной частицы (энергию,
массовое число, а также направление её прихода) по откликам детекторов, входящих в состав
установки. Такое восстановление невозможно, если не располагать моделью этого явления,
основанной на экстраполяции ускорительных данных относительно характеристик адронных
взаимодействий на область сверхвысоких энергий, где такие данные отсутствуют. Формально
ускорительные данные заканчиваются сейчас на эквивалентной лабораторной энергии 1.8.1015
эВ, однако ряд важных характеристик взаимодействий адрон-нуклон и, в особенности, адрон-
ядро, известен лишь до энергий ~1ТэВ. Поскольку используемые в настоящее время модели
адронных взаимодействий являются феноменологическими, то, строго говоря, надёжность их
предсказаний не может быть гарантирована вне той области энергий, внутри которой были
определены параметры модели. Это обстоятельство следует всегда иметь в виду при
интерпретации экспериментальных данных, полученных путём исследования ШАЛ.
3. КОСМИЧЕСКИЕ ЛУЧИ У ЗЕМЛИ
3.1 Область модуляционных эффектов
Частицы самых низких энергий не могут наблюдаться непосредственно у Земли,
поскольку солнечный ветер препятствует вхождению этих частиц в нашу Гелиосферу. Эта
гелиосферная модуляция уменьшается с увеличением энергии и приводит к солнечному циклу
вариации интенсивности КЛ при низких энергиях. В интенсивности и спектре ГКЛ, попадающих
в Гелиосферу, происходят заметные изменения. Эти изменения, прежде всего, связаны с
взаимодействием потока космических лучей с солнечным ветром и вмороженными в этот ветер
магнитными полями. В результате энергетический спектр галактических космических лучей,
измеренный у Земли, заметно отличается от спектра ГКЛ в межзвёздной среде. На Рис.9
представлены результаты измерений спектра галактических космических лучей в периоды
времени, соответствующие различным фазам солнечной активности (Heber, 2001).
Рис. 9 Энергетический спектр различных элементов, измеренный вблизи Земли в год минимума
солнечной активности (верхние кривые) и в год максимума (нижние).
Видно, что при энергиях более 10 ГэВ/нуклон интенсивности ГКЛ в различные фазы солнечной
активности отличаются незначительно. В то же время при энергиях ~ 10 МэВ интенсивности
спектров могут отличаться на порядок.
При рассмотрении различных явлений в гелиосфере на протяжении нескольких десятилетий
определяющим их фактором является 11-летняя и 22-летняя цикличность солнечного процесса,
характеризующегося рядом чётко установленных закономерностей, касающихся уровня
активности Солнца, расположения активных областей на фотосфере, а также магнитного поля
активных образований. Граница области модуляции находится на расстояниях ~100 а.е.
На Рис.10 показана модуляция интенсивности КЛ в 11-летнем солнечном цикле
(Базилевская и др., 2005). Интенсивность ГКЛ меняется в противофазе с числом солнечных
пятен. Однако процессы солнечной модуляции оказываются довольно сложными и не сводятся
только к антикорреляции с числом солнечных пятен.
Теоретической основой транспорта ГКЛ в гелиосфере является уравнение переноса
Паркера (Parker, 1965):

где – функция распределения космических лучей, R–жёсткость, r и t–
соответственно расстояние от Солнца и время. V – скорость солнечного ветра. В правой части
уравнения записаны члены, описывающие конвекцию частиц, продольный и поперечный дрейф,
диффузию, адиабатические изменения энергии и источник частиц соответственно. Источником
частиц может быть любой гелиосферный источник. K– тензор, симметричная часть которого
описывает диффузию, а антисимметричная часть тензора описывает дрейф частиц в
гелиосферном магнитном поле со средней скоростью VD. В последние годы особенно важным
становится учёт диффузии в направлении, перпендикулярном магнитному полю.
Уравнение (1) решают, как правило, численно. Его решение, в принципе, позволяет
получить значения модуляции внутри гелиосферы. Однако, многообразие природных процессов
и связей, в которые вовлечены КЛ, так велико, что при решении этого уравнения возникает
проблема – необходимость детального знания пространственных, временных и энергетических
зависимостей основных параметров уравнения от размеров и геометрии области модуляции.

Рис. 10 Интенсивность КЛ с энергией > 100 МэВ на границе атмосферы в Мурманской области
по данным стратосферных измерений. Сплошной линией обозначена интенсивность КЛ,
пунктиром – число солнечных пятен.
В связи со сложностью проблемы в последнее время очень активно совершенствуются
модели модуляции, основанные на трёхмерном, зависящем от энергии численном
моделировании. Результаты расчётов могут быть сопоставлены с экспериментальными данными,
полученными на аэростатах и космических аппаратах. В работе (Bonino et al, 2001) с
использованием приближённого решения транспортного уравнения представлен
дифференциальный по энергии спектр протонов, зависящий от параметра солнечной модуляции
М:
Здесь Т – кинетическая энергия на нуклон, а Е0 – энергия покоя нуклона. В этой же работе
проанализированы экспериментальные данные наблюдений спектра галактических космических
лучей на баллонах и космических аппаратах. Рассмотрено 29 различных экспериментов. Путём
сопоставления результатов расчётов по формуле (2) с этими данными были определены
параметры солнечной модуляции М, наилучшим образом описывающие значения
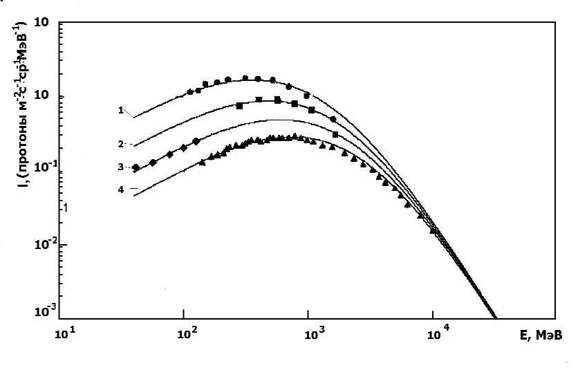
экспериментальной интенсивности. (Рис.11)

Рис. 11 Дифференциальные спектры космических лучей, полученные на основе уравнения (2)
для различных значений солнечной модуляции М = 390, 600, 820, 1080 МэВ (соответственно
кривые 1,2,3,4) в сопоставлении с экспериментальными данными, полученными на баллонах и
космических аппаратах в течение 1965, 1968, 1980 и 1989 гг. соответственно.
Существует полуэмпирическая динамическая модель (Ныммик, 2005), позволяющая описывать
потоки частиц ГКЛ с Z от 1 до 92 и с энергиями от
5 до 105 МэВ/нуклон. В модели учтена зависимость потоков от уровня солнечной активности, а
также величина и направление магнитного поля Солнца.
3.2 Область энергий 1011–1017 эВ
3.2.1 Прямые эксперименты
Выше энергий ~10.Z ГэВ модуляция, обусловленная магнитным полем гелиосферы,
пренебрежимо мала и можно считать, в первом приближении, что спектры отдельных элементов,
входящих в ГКЛ следуют степенному закону. То же замечание справедливо и относительно всех
частиц ГКЛ. Показатель спектра меняется при энергии 3-4 ПэВ приблизительно с –2.7 на –3.1, и
этот излом спектра часто называется «коленом». Происхождение колена,открытого почти 50 лет
назад (Куликов и Христиансен, 1958), все еще является предметом обсуждения. Различные
возможности возникновения излома вследствие либо изменения характера распространения ГКЛ
в нашей Галактике, либо изменения процесса ускорения частиц, рассмотрены далее в разделах 4
и 5. Надо, однако, подчеркнуть, что в обоих вариантах энергия, при которой должен иметь место
излом для ядер с зарядом Z, оказывается пропорциональной Z.
На рис. 12, 13, 14 приведены результаты прямых экспериментов по исследованию потоков
протонов, ядер гелия и ядер железа (Horandel, 2003), а также аппроксимации, построенные
согласно таблице из той же работы.
Рис.12-14 Спектры протонов,ядер гелия и железа
3.2.2 Методика определения энергетического спектра и массового состава ГКЛ
по данным ШАЛ
При использовании ШАЛ в качестве инструмента для изучения КЛ сверхвысоких энергий
определение первичной энергии и массового состава оказываются, вообще говоря,
взаимосвязанными. Действительно, применяемые методики основываются либо на
одновременном измерении нескольких компонент индивидуального ШАЛ на данном уровне
наблюдения, либо на информации о его продольном развитии. Развитие ШАЛ зависит как от
энергии первичной частицы, генерировавшей ливень, так и от ее массового числа. Наиболее
широко применяемым методом получения информации о массовом числе первичной частицы
является изучение зависимости между числом электронов Ne и числом мюонов Nμ. В среднем,
ШАЛ от первичных ядер развиваются быстрее в атмосфере и имеют большее число мюонов.
Пространственные распределения различных компонент ШАЛ и, в частности, черенковского
излучения, несут информацию о форме каскадной кривой и, следовательно, о том, как быстро
ливень развивается в атмосфере. Изучение распределений времен прихода различных компонент
ШАЛ на уровень наблюдения (черенковского или флуоресцентного света, мюонов) также несет
информацию о реальном развитии ШАЛ и используется в экспериментальной практике.
Извлечение физических выводов из анализа экспериментально наблюдаемых ШАЛ представляет
собой достаточно сложный процесс в связи с тем, что существуют флуктуации, связанные со
случайным характером каскадных процессов, а также различного рода систематические
неопределенности, возникающие при регистрации ШАЛ. В общем случае интересующие нас
характеристики первичной частицы должны определяться с максимально точным учетом как
внутренне присущих каскадным процессам флуктуаций, так и всех необходимых деталей
процесса измерения.
Для целей моделирования процесса развития ШАЛ разработан ряд монте-
карловских программ: CORSIKA (Heck et al, 1998), MOCCA (Hillas, 1981), AIRES (Sciutto, 1999)
и продолжают развиваться новые. Поскольку прямое использование метода Монте-Карло от
энергии первичной частицы до пороговой энергии непосредственно регистрируемых частиц
требует значительного машинного времени, при первичных энергиях >1016 эВ, как правило,
используются схемы с введением статистических весов (Hillas, 1997), что может приводить к
искусственным флуктуациям. Использование численных методов позволяет существенным
образом сократить время вычислений средних характеристик процесса, но оказывается
значительно менее удобным инструментом, если требуется учитывать флуктуации и
моделировать процесс регистрации ШАЛ. Поэтому наиболее перспективным направлением
развития вычислительных методик представляется синтез монте-карловских подходов и
численных методов (Kalmykov et al, 1997).
Для определения энергетического спектра ГКЛ в области первого излома (1015–1017 эВ)
необходимо иметь оценку энергии ШАЛ, причем наилучшим образом поставленной задаче
соответствовала бы оценка калориметрического типа, по возможности, не зависящая от
массового числа частицы, генерировавшей данный ливень. К сожалению, это возможно далеко не
всегда, так что различные установки используют разнообразные методы перехода от
наблюдаемых спектров к спектрам по энергии.
Оценка энергии и массового числа первичной частицы по результатам регистрации
потоков вторичных компонент ШАЛ сводится к решению обратной задачи. Применяемые
методы разделяются на два существенно различных класса: использование процедуры
деконволюции (развертывания), в которой энергетический спектр и массовый состав извлекаются
из экспериментально измеренных спектров по Ne, Nμ и т.д., и применение различных методов
теории распознавания образов, где путем сравнения с теоретическими распределениями
осуществляется отнесение индивидуальных зарегистрированных ШАЛ к тому или иному
массовому числу.
Метод деконволюции применяется для решения интегрального уравнеия Фредгольма 1
рода, которое, применительно к поставленной задаче, может быть записано следующим образом:

где F(Ne(μ)) – экспериментально измеренный установкой спектр электронов (или мюонов), Ii(E) –
энергетический спектр первичных частиц, относящихся к группе i (протоны, ядра гелия, ядра
группы CNO и т. д. вплоть до ядер железа), – вероятность того, что первичная частица
с энергией E и массовым числом, соответствующим группе ядер i создаст ливень с требуемым
числом электронов или мюонов.
Для повышения точности решения задачи желательно
рассматривать одновременно как можно большее число данных, например, при анализе данных
KASCADE были использованы спектры электронов и мюонов в нескольких диапазонах зенитных
углов (Roth et al, 2003). В качестве оценки энергии в эксперименте KASCADE применяется так
называемое «усеченное» (truncated) число мюонов, равное интегралу от плотности мюонов в
пределах от 40 до 200 м от оси ШАЛ. Как известно, требуются специальные дополнительные
меры, чтобы получить однозначное решение интегрального уравнения Фредгольма 1 рода
(регуляризация (Blobel, 1985), положительность передаточной функции (Gold, 1964) или
требование гладкости решения (D’Agostini, 1995)). Следует также отметить, что расчет
вероятности требует больших вычислительных затрат, и пока что статистика
теоретического банка событий уступает экспериментальной. Преодоление такой ситуации
требует развития комбинированных методик расчета.
Распознавание образов можно рассматривать как задачу оценки плотности распределений
в многомерном пространстве с последующим разбиением исследуемой области на участки,
попадание в которые интерпретируется как отнесение первичной частицы, генерировавшей
данный ШАЛ, к той или иной группе ядер. Теоретически наилучшим является так называемый
Байесовский классификатор, минимизирующий вероятность ошибки классификации (Fukunaga,
1972). Однако применяются и другие методы, в частности, метод нейронных сетей (Bishop, 1995).
Применение классификации индивидуальных событий (Glasmacher et al, 1999) наилучшим
образом работает в том случае, когда исследуемая выборка априори содержит только два
различных типа частиц (например, разбиение на легкие и тяжелые ядра). При большем
количестве групп эффективность метода снижается в связи с ростом ошибки классификации.
3.2.3 Энергетический спектр ГКЛ по данным ШАЛ
Поскольку природа излома энергетического спектра ГКЛ при энергии ~ 3·1015 эВ ещё не
понята до конца, поэтому в настоящее время трудно предложить расчётную модель, которая
позволила бы описать спектры индивидуальных ядер, включая область излома, и при этом не
вызывала бы сомнений. Спектры индивидуальных групп ядер, полученные в эксперименте
KASCADE (Horandel, 2003), демонстрируют наличие изломов, причём энергия излома
оказывается пропорциональной заряду ядра. Однако интенсивности индивидуальных спектров
зависят от принимаемой модели взаимодействия, которая в настоящее время не может быть
окончательно установлена. Тем не менее, анализ данных прямых экспериментов и установок для
исследования ШАЛ позволил предложить феноменологическую модель излома (Horandel, 2003),
удачно описывающую имеющиеся экспериментальные данные.
Энергетическая зависимость потока частиц с зарядом Z принимается в следующей форме:

Ниже энергии излома EZ спектры имеют обычный степенной вид, причём γZ зависит от Z. Эта
зависимость определяется по данным прямых измерений. При энергиях много выше EZ спектр
определяется показателем γc, причем |γc|>|γZ|. Величина εc определяет, насколько резко
происходит переход от одного режима к другому. Параметры EZ, γc и εc определяются по
результатам анализа данных установки KASCADE.
Наиболее интересным результатом этого анализа представляется следующий. Несмотря на
наличие модельной зависимости величин I0Z, спектр всех частиц практически не обнаруживает
такой зависимости. Более того, экстраполяция данных прямых измерений в соответствии с
предполагаемым видом энергетических спектров IZ(Е) хорошо сшивается с результатами,
полученными при анализе данных большого числа установок ШАЛ, в особенности, если
осуществить некоторую перенормировку энергетических спектров ГКЛ, восстанавливаемых по
данным ШАЛ (см. рис.15). При этом, как правило, достаточно изменения энергии всего на
несколько процентов. Оптимальные значения EZ, γc и εc равны: EZ=Z Ep, где Eр=(4.51±0.52) ПэВ;
γc=–4.68±0.23; εc=1.87±0.18.

Рис. 15 Дифференциальные энергетические спектры всех частиц.
Таким образом, показатели парциальных спектров после излома увеличиваются почти на
2.0. Величине εc≈2 соответствует область перехода от γZ к γc, занимающая примерно полпорядка.
С учетом наличия в ГКЛ элементов вплоть до урана, испытывающего излом при энергии
~4.1017эВ, предложенная феноменологическая модель позволяет описать энергетический спектр
ГКЛ, примерно, до указанной энергии. При больших энергиях надо допускать, что космические
лучи имеют иное, скорее всего, экстрагалактическое происхождение.
3.3 Результаты исследования анизотропии КЛ
Одной из основных характеристик КЛ является их возможная анизотропия. Измерения
анизотропии важны с точки зрения выявления пространственного распределения источников в
Галактике и характера движения релятивистских заряженных частиц. Информация об
анизотропии представляет особый интерес для интерпретации излома в энергетическом спектре
ГКЛ при Е0≈ 3·1015 эВ.
Одним из источников анизотропии является анизотропия, связанная с пекулярным
движением солнечной системы относительно общей массы звёзд, межзвёздного газа и
крупномасштабного магнитного поля Галактики (эффект Комптона-Геттинга). Возникающая при
этом анизотропия порядкаσ ≈3·10-4. Другие причины появления анизотропии обусловлены общим
вытеканием космических лучей, генерируемых в нашей Галактике, в метагалактическое
пространство без существенной роли обратного потока и вкладом отдельных близких источников
(пульсаров, остатков сверхновых).
Надёжные сведения об анизотропии космических лучей в Галактике с помощью наземных
измерений можно получить лишь для частиц с энергиями более 5·1011–1012эВ, так как движение
частиц меньших энергий сильно искажается магнитным полем солнечной системы.
Изучение анизотропии КЛ обычно основывается на анализе зависимости их
интенсивности I(t) от звёздного времени t. Интенсивность можно представить в виде ряда Фурье:

где A0 - изотропная составляющая, ω = 2π/T, T – длительность звёздных суток, An – амплитуда, а
φn - фаза n-ой гармоники. Обычно ограничиваются отысканием A1 и φ1, разбивая весь период
измерений на отдельные интервалы, на протяжении которых температурные и барометрические
перепады относительно малы.
(Барометрический коэффициент составляет 1% на 1 мм Hg, а температурный около 1% на 10С. Поэтому при исследовании нарушения
анизотропии с погрешностью порядка процента точный учёт барометрического и температурного эффектов
необходим.)
Из определения анизотропии

и выражения для I(t), пренебрегая гармониками второго и более высокого порядка, получаем

Использование диффузионных моделей для вычисления анизотропии носит ограниченный
характер, так как анизотропия во многом может определяться локальной структурой магнитного
поля вблизи солнечной системы.
Связь между величиной анизотропии δ и градиентом концентрации КЛ

возникающая в модели изотропной диффузии, нарушается из-за тензорного характера диффузии,
связанного с «замагниченностью» релятивистского газа КЛ.
Результаты измерений анизотропии: амплитуда первой гармоники A и её фаза φ, то-есть
направление на максимум интенсивности, приведены на рисунке 16 (Ambrosio et al, 2003).
Рис.16 – Анизотропия КЛ. Амплитуда первой гармоники (а) и её фаза (б)
Представлены только наиболее надёжные данные, для которых A/σ≥3, где σ–
среднеквадратичная ошибка. Как видно из рисунка, амплитуда и фаза анизотропии не
показывают заметной зависимости от энергии до энергии Е0≤1015эВ.
При больших энергиях имеющияся в настоящее время данные по анизотропии КЛ весьма
неопределённые, в основном, из-за недостатка статистики, и позволяют оценить только верхнюю
границу анизотропии. Однако, по-видимому, можно говорить о тенденции к росту анизотропии и
к изменению её направления.
При энергиях Е ≥ 1015 эВ анизотропия в основном обусловлена вытеканием ГКЛ из
Галактики за счёт диффузии, причём коэффициент диффузии зависит от энергии как D~E00.6. При
этих энергиях может быть существенен вклад в анизотропию за счёт дрейфа частиц в регулярном
магнитном поле Галактики. За счёт эффекта дрейфа (холловской диффузии) ГКЛ (Зиракашвили и
др., 1991) в общем регулярном магнитном поле Галактики анизотропия δ~D(E) и допустима
анизотропия ~10-2 при Е0≈1017эВ.
3.4 Космические лучи при энергии выше 1017 эВ
Выделение КЛ с энергиями более 1017 эВ в отдельный пункт целесообразно по двум
причинам. Во-первых, энергия 1017 эВ является граничной энергией удержания частиц такой
энергии в Галактике магнитными неоднородностями, имеющими характерный масштаб ~100пк.
Во-вторых, с экспериментальной точки зрения при этих энергиях происходит переход от
компактных установок ШАЛ, позволяющих определять полное число частиц в ливне на уровне
наблюдения, отражающее энергию первичной частицы, к раздвинутым установкам, в которых
для нахождения первичной энергии используется тот или иной классификационный параметр.
Большинство данных при энергии более 1017 эВ получено на установках ШАЛ: Havera
Park, Якутск, AGASA и с помощью детекторов, регистрирующих флуоресцентный свет от
возбужденных в атмосфере атомов азота: Fly’s Eye и HiRes. К сожалению, прекращена работа
установок Havera Park, AGASA и Fly’s Eye.

Рис.17 Дифференциальный энергетический спектр КЛ с энергиями более 1017 эВ.
На рисунке 17 представлены дифференциальные энергетические спектры ПКЛ при
энергиях более 1017 эВ, измеренные в Якутске (Glushkov et al, 2003), в экспериментах AGASA
(Sakaki et al, 2001) и HiRes (Abbasi et al, 2005).
Из рисунка видно, что интенсивность КЛ по данным Якутской группы заметно выше (по
сравнению с HiRes в 2.5 раза), а спектр несколько круче.
По всей совокупности эскпериментальных данных энергетический спектр характеризуется
следующими особенностями: спектр укручается до E-3..3 выше 1017.7 эВ (dip), а затем
уполаживается до E-2.7 при 1018.5 эВ (ancle). Наиболее распространенная интерпретация лодыжки
состоит в том, что выше 1018.5 эВ новая популяция КЛ внегалактического происхождения
начинает доминировать над галактической компонентой (Cocconi, 1996).
В поддержку этой гипотезы указывают данные об анизотропии. При энергии около 1017 эВ
отклонения от изотропии невелики. Согласно данным Havera Park (Lloyd-Evans and Watson, 1983)
и Якутска (Михайлов и Правдин, 1997) возможная анизотропия равна: (1.52±0.44)% и
(1.35±0.36)% соответственно. Однако фазы анизотропии отличаются на 90º (212º±17º и 123º), так
что к результатам следует относиться осторожно. При энергии около 1018эВ угловое
распределение ШАЛ в эксперименте AGASA (Hayashida et al, 1999) коррелирует с
Галактическим центром (анизотропия ~4%), в то время как при более высоких энергиях
(>41019эВ) анизотропия исчезает.
Для выбора из возможных моделей происхождения важна также информация о массовом
составе. Имеющиеся результаты весьма неопределенны. При энергиях 1017 –3?1017 эВ по данным
установок ШАЛ МГУ (Khristiansen et al, 1994) и Fly’s Eye (Bird et al, 1993) наблюдается
обогащение КЛ тяжелыми ядрами, обусловленное изломом в спектре КЛ при энергии ~3.1015 эВ.
При энергиях более 1018 эВ (Abbasi et al, 2005) и более 1019эВ (Shinozaki et al, 2003) данные не
противоречат предположению о протонном составе КЛ.
Переходя к предельно высоким энергиям, отметим, по-видимому, установленный факт
существования в КЛ частиц с энергией более 1020эВ, что значительно выше обрезания спектра за
счет эффекта GZK (Greisen, 1966; Зацепин и Кузьмин, 1966), обусловленного взаимодействием
КЛ с реликтовыми фотонами. К настоящему времени зарегистрировано по разным оценкам от 10
до 20 событий, при этом максимальная энергия равна ~3.1020 эВ.
Для разрешения парадокса GZK высказываются различные идеи, которые будут
обсуждаться в разделе «Происхождение КЛ». Здесь отметим одну из гипотез, связанную с
возможным нарушением лоренцевской инвариантности при сверхвысоких энергиях (Киржниц и
Чечин, 1971), в рамках которой (Coleman and Glashow, 1999) нейтральные и заряженные пионы
могут быть стабильными частицами при энергиях выше 1019эВ и входить в состав первичных КЛ.
4. РАСПРОСТРАНЕНИЕ КОСМИЧЕСКИХ ЛУЧЕЙ В ГАЛАКТИКЕ
4.1 Основные параметры межзвёздной среды
Основными особенностями межзвёздной среды являются её нестационарность и большое
разнообразие физических условий (Астрофизика КЛ, 1990). Межзвёздный газ, масса которого
составляет 5·109 МO, существует в нескольких модификациях. Горячий газ, образующийся в
результате взрывов сверхновых, характеризуется плотностью n≈3·10-3 /см3, температурой Т≈106 К
и занимает в галактическом диске долю f≈0.2-0.8. Кроме того, имеются тёплая межоблачная
среда (n≈0.1 см-3, Т≈104 К, f≈0.2-0.8), облака атомарного водорода (n≈40 см-3,
Т≈100 К,
f≈0.03),
молекулярные облака (n≈200 см-3, Т≈10 К, f≈3·10-3). Средняя концентрация ядер водорода в
галактическом диске составляет ≈1 см<>-3>.
Большая часть межзвёздного газа Галактики, как и большинство молодых звёзд,
сосредоточены в спиральных рукавах Галактики, ширина которых в галактической плоскости
составляет несколько сотен парсек. Массы атомарного и молекулярного водорода примерно
равны (~2·109 МO). Горячий газ из диска должен проникать и в гало, где, возможно, содержится
порядка нескольких процентов от общей массы газа; концентрация ядер водорода в гало ≈0.01 /см3.
Наблюдения, проводимые различными методами, свидетельствуют о существовании
заметных случайных движений межзвёздной среды с максимальным масштабом ≈100 пк. Общая
плотность энергии, связанной со случайными движениями, составляет около 1 эВ/см-3, т.е.,
соизмерима с плотностью энергии космических лучей.
Распределение сверхновых звёзд в Галактике также не является однородным, и, помимо
отдельных сверхновых, существуют их скопления. В результате последовательных взрывов
сверхновых в пределах ассоциации ОВ звёзд возникают гигантские горячие каверны
(superbubble) размерами 102-103 пк и с полной выделившейся энергией порядка 1054 эрг. Частота
таких процессов в Галактике оценивается как 10-4 в год, а время существования каверны ~107 лет.
В кавернах следует ожидать повышенного уровня турбулентности, что даёт дополнительные
возможности для ускорения космических лучей (Быков и Топтыгин, 1995).
Процесс распространения космических лучей в Галактике зависит, очевидно, от структуры
магнитных полей. Силовые линии регулярного поля лежат в галактической плоскости и
приблизительно идут вдоль спиральных рукавов. Средняя амплитуда напряжённости поля
составляет (2-3)·10-6 Гс. Случайная составляющая магнитного поля Галактики характеризуется
основным масштабом L≈100 пк и амплитудой, превышающей амплитуду регулярного поля, так
что (<δB2>)1/2/Breg≈(1-3). Cпектр неоднородностей магнитного поля в настоящее время
точно
неизвестен, однако нельзя исключить, что этот спектр, как и спектр неоднородностей газа близок
к колмогоровскому в интервале масштабов от 1012 см до 100 пк. Магнитное поле существует
также и в гало, причём в литературе нет единой точки зрения относительно его величины.
4.2 Диффузия КЛ в галактических магнитных полях
Мы уже упоминали выше, что космические лучи не распространяются по прямой, а
диффундируют в магнитных полях Галактики. Наблюдаемое экспериментально отношение
потоков легких и средних ядер составляет (для ядер с энергией выше 2.5 ГэВ/нуклон)
NL/NM=0.3±0.05, тогда как соответствующая величина для звезд составляет 10-6. Следовательно,
космические лучи экстремально обогащены легкими ядрами, и раз этих ядер практически нет в
источниках, они появляются в результате взаимодействий более тяжелых ядер. Для того, чтобы
это произошло, требуется, как показывают оценки, пройти в межзвездной среде количество
вещества xg=(5–10)г/см2. Эту величину следует сопоставить с количеством вещества Галактики,
проходимого по прямой xog=ρ·RG≈0.01 г/см2. Отношение xg/xog≈103,
что и означает
необходимость диффузии. При энергии несколько ГэВ на нуклон время жизни космических
лучей составляет ≈3.107 лет и затем убывает.
Кроме того, поскольку Солнечная система находится на периферии Галактики, то при
отсутствии диффузии (или слабой диффузии) поток из центра Галактики мог бы заметно
превысить поток с противоположного направления. Но данные по анизотропии потока
космических лучей свидетельствуют, что величина анизотропии вплоть до энергий 1014 эВ
остается малой (<10-3), что даёт ещё один аргумент в пользу наличия диффузии.
Диффузия в магнитном поле имеет не скалярный, а тензорный характер. Пусть Ni(E,r,t) –
концентрация ядер группы i с энергией E, на расстоянии r (измеряемом, например, от центра
Галактики) в момент времени t. Уравнение диффузии, которому удовлетворяет Ni(E,r,t), имеет
вид

где Di – тензор диффузии, bi(E) описывает непрерывные энергетические потери частиц, Ti и Tk –
времена жизни частиц относительно неупругого взаимодействия, Pki –коэффициенты
фрагментации, задающие среднее число ядер группы i, возникающих в неупругих
взаимодействиях ядер группы k, Q(E,r,t) –функция источника.
Рассмотрим простейший случай, когда можно пренебречь ядерными взаимодействиями и
непрерывными потерями энергии (последнее для космических лучей сверхвысоких энергий
справедливо практически всегда, тогда как пренебрежение ядерными взаимодействиями в
некоторых случаях недопустимо, как, например, при оценке потока ядер группы L).В этих
условиях стационарное уравнение диффузии для какой-либо группы ядер имеет вид
(Астрофизика КЛ, 1990):

Компоненты Dij тензора диффузии определяются следующим образом:
Dij=(DII-D⊥ )bibj +D⊥δij+DAeijnbn,
где bi=B0i/B0 - компонента единичного вектора магнитного поля; DII,D⊥ и DA коэффициенты
параллельной, перпендикулярной и холловской диффузии соответственно, δij –символ Кронекера,
eijn –абсолютный антисимметричный тензор, индекс, определяющий группу ядер, опущен.
В реальных условиях нашей Галактики наиболее существенную роль играют
коэффициенты диффузии D⊥ и DА. Заметим, что холловская диффузия “на другом языке”
представляет собой дрейф частиц в крупномасштабном регулярном магнитном поле Галактики
(Ptuskin et al, 1993). При малых энергиях, существенно меньших энергии 3.1015 эВ, при которой
наблюдается излом в энергетическом спектре ГКЛ, доминирует D⊥, и имеет место обычная
скалярная диффузия с коэффициентом диффузии D=D⊥, где D⊥ определено следующим образом:
D⊥~D⊥0(E/3 ГэВ)m, m=(0.1-0.2).
Коэффициент холловской диффузии DA пропорционален ларморовскому радиусу частицы,т.е.
DA~E.
Подчеркнем важное обстоятельство, присущее решениям уравнения диффузии: если
коэффициент диффузии является функцией энергии, то энергетический спектр космических
лучей у Земли I(E) будет отличен от их спектра в источниках Q(E), а именно I(E ~Q(E)/D(E).
Информацию относительно энергетической зависимости коэффициента диффузии можно
получить, изучая анизотропию δ как функцию энергии.
Имеющиеся данные по анизотропии в области энергий 1012–1015 эВ (см. Рис.16) трудно
согласовать с предположением о том, что D (и, следовательно, δ) растет с энергией как Е0.6-0.7,
что требуется для получения наблюдаемого экспериментально спектра ГКЛ из спектра,
получаемого в модели ускорения КЛ на ударных фронтах расширяющихся оболочек сверхновых
с . Можно несколько понизить требования к росту
D с энергией (до D~E0.3),
рассматривая процесс доускорения частиц во время их распространения в Галактике. В то же
время зависимость типа D~E(0.6-0.7) не противоречит результатам исследования энергетической
зависимости отношения L/M при энергиях до 1011 эВ/нуклон.
4.3 Влияние дрейфа в регулярном магнитном поле Галактики
Нерегулярность в первичном энергетическом спектре при E~3.1015 эВ (см. Рис.15) была
обнаружена около 50 лет назад, но до сих пор вопрос о том, чем же обусловлен этот излом,
окончательно не решён. Поэтому имеется возможность трактовать излом как результат
распространения космических лучей в Галактике. Поскольку существование зависимости
коэффициента диффузии от энергии меняет спектр космических лучей по сравнению с
источником, то нужный результат может быть получен, если до 3.1015 эВ D(E) cлабо зависит от E,
а затем эта зависимость усиливается. Так как величина DA пропорциональна ларморовскому
радиусу частицы, то, начиная с некоторой энергии, влияние холловской диффузии будет
доминировать, и произойдет смена режима распространения с переходом на более сильную
зависимость D(E). В данном подходе можно правильно воспроизвести первичный
энергетический спектр в диапазоне энергий вплоть до 1017 эВ. При более высоких энергиях
диффузионное приближение становится неадекватным и необходимо использовать прямое
моделирование движения заряженных частиц в магнитных полях Галактики.
В области
относительно небольших энергий (Е≤1011 эВ) вместо диффузионного приближения используется
однородная модель (иначе называемая моделью leaky box), представляющая собой упрощённый
вариант диффузионной (Астрофизика КЛ, 1990). В однородной модели второй член уравнения
диффузии заменяется на Ni(T)/TCR(hom), где параметр TCR(hom) представляет собой характерное
время выхода космических лучей из Галактики. При этом считается, что диффузия происходит
достаточно быстро, и концентрация космических лучей в Галактике в целом постоянна.
Однородную модель можно формально получить как предельный случай диффузионной при
условии слабой утечки частиц из системы. Расчёты в рамках однородной модели оказываются
много проще, чем процесс решения диффузионных уравнений, что является причиной её
широкой популярности, однако применение диффузионной модели, конечно, более
предпочтительно.
4.4 Фрактальная диффузия
В последние годы получили распространение идеи (Лагутин и Тюменцев, 2003), согласно
которым диффузию в Галактике следует рассматривать скорее как диффузию в среде
фрактального типа, а не как «обычную» диффузию в среде с непрерывными параметрами.
Основанием для такого подхода является наличие неоднородностей в пространственном
распределении вещества и, следовательно, магнитных полей в Галактике. При этом крайне
существенно, что упомянутые неоднородности, обусловливающие хаотическое движение
космических лучей, наблюдаются на разных масштабах. Всё это стимулирует развитие новых
подходов к распространению космических лучей в Галактике. В частности, принятие допущения,
что распределение неоднородностей имеет фрактальный характер, означает, что необходимо
перейти от обычной диффузии в однородной или квазиоднородной среде к диффузии в среде
фрактального типа (так называемой аномальной диффузии). Описанный подход успешно
развивается, однако, вплоть до настоящего времени, работы в данном направлении не привели к
отказу от традиционного математического аппарата.
5. ПРОИСХОЖДЕНИЕ КОСМИЧЕСКИХ ЛУЧЕЙ
Если иметь в виду весь энергетический диапазон, в котором наблюдаются космические
лучи, то, безусловно, следует признать, что завершённая теория этого вопроса отсутствует. Даже
в отношении происхождения ГКЛ вряд ли в настоящее время можно претендовать на большее,
чем создание разумных моделей, объясняющих наиболее существенные факты.
К таковым следует, в первую очередь, отнести величину плотности энергии космических
лучей (~10-12 эрг/см3), а также степенную форму энергетического спектра ГКЛ, не
претерпевающую каких-либо резких изменений вплоть до энергии ~3·1015 эВ, где показатель
дифференциального энергетического спектра всех частиц меняется с -2.7 на -3.1.
5.1 Взрывы сверхновых как основной источник галактических КЛ
Требования к энергетической мощности источников, генерирующих космические лучи,
весьма высоки, так что обычные звёзды Галактики не могут им удовлетворять (мощность PCR
порядка 3·1040 эрг/сек). Однако такая мощность может быть получена от взрывов сверхновых
(эта идея была высказана около 50 лет назад (Гинзбург и Сыроватский, 1963)). Если во время
взрыва выделяется энергия ~1051 эрг, а взрывы происходят с частотой 1 раз в 30–100 лет, то
мощность, генерируемая при взрывах сверхновых, составляет ~1042 эрг/см3 и для обеспечения
необходимой мощности космических лучей достаточно лишь нескольких процентов энергии
вспышки.
Вопрос о формировании наблюдаемого экспериментально энергетического спктра ГКЛ
далеко не тривиален. Необходимо передать макроскопическую энергию намагниченной плазмы
(расширяющейся оболочки взорвавшейся сверхновой) индивидуальным заряженным частицам,
обеспечив при этом такое распределение энергии, которое существенным образом отличается от
теплового.
5.2 Стандартная модель ускорения КЛ ударными волнами
Наиболее вероятным механизмом ускорения ГКЛ до энергии ~1015 эВ, а, возможно, и
выше, представляется следующий. Движение сброшенной при взрыве оболочки порождает в
окружающей межзвёздной среде ударную волну. Диффузионное распространение заряженных
частиц, захваченных в процесс ускорения, позволяет им многократно пересекать фронт ударной
волны (Крымский, 1977). Каждая пара последовательных пересечений увеличивает энергию
частицы пропорционально уже достигнутой энергии (механизм, предложенный Ферми), что и
приводит к ускорению ГКЛ. По мере увеличения числа пересечений фронта ударной волны
растёт и вероятность покинуть область ускорения, так что количество частиц падает по мере
роста энергии примерно степенным образом. Ускорение оказывается весьма эффективным, а
спектр ускоренных частиц жёстким: ~E-2 вплоть до ~Еmax –максимально достижимой энергии
ускоренных частиц.
Поэтому необходимо учитывать обратное воздействие космических лучей
(наиболее существенна роль протонов, поскольку более тяжёлые ядра можно рассматривать как
малые примеси) на среду, приводящее к модификации ударной волны и к возникновению,
помимо обычного теплового фронта, плавного протяжённого участка, так называемого
предфронта. Такая модификация, в свою очередь, влияет на спектр космических лучей. Таким
образом, в общем случае нельзя пользоваться приближением, когда обратное влияние
космических лучей на среду не учитывается, и необходимо пользоваться самосогласованным
решением, процесс которого ещё окончательно не отработан (в том смысле, что, возможно, пока
ещё не учтены полностью все необходимые факторы). Отражением этого обстоятельства
является наблюдающийся в течение последних 10 лет почти непрерывный рост теоретической
оценки максимально достижимой энергии. Так, в работе (Бережко и Ксенофонтов, 1999)
приводится следующая оценка для максимально достижимой энергии Emax:
Emax=5·1014 Z (ESN/1051 эрг)1/2 (Mej/1.4 MO)-1/6
(NH/3·10-3 см-3)1/3·(B0/3 мкГс), эВ,
где Z –заряд ускоряемой частицы, ESN –энергия вспышки, Mej –масса сброшенной оболочки, NH –
концентрация атомов водорода, B0 –напряжённость магнитного поля. Согласие результатов
расчётов (Berezhko, 2001) с экспериментальными спектрами (Shibata, 1995), как видно из Рис.18
достаточно хорошее.

Приведенная формула предполагает использование Бомовского предела для
коэффициента диффузии DB=(1/3)?RL.c, где RL –ларморовский радиус частицы.
Правомерность
этого традиционного приближения, вообще говоря, не очевидна и может быть подвергнута
сомнению. Заметим, что в приближении, не учитывающем обратное влияние космических лучей
на ударную волну, оценка Emax получается приблизительно на порядок ниже. Время ускорения
достигает ~104 лет, но эффективность его (понимаемая как возможность генерации частиц с
энергией, близкой к Emax) падает со временем, так что время, в течение которого могут
ускоряться частицы с наибольшими энергиями, составляет ~103 лет.
Рис.18. Интенсивность КЛ вблизи Земли как функция кинетической энергии. Кривые – расчёт,
точки – экспериментальные данные.
Из формулы следует также, что, меняя характеристики вспышки (например, энергия,
высвобождающаяся при вспышках так называемых Гиперновых, может значительно превысить
1051эрг) и учитывая распределение вспышек по ESN, можно существенно повысить предел Emax.
Кроме того, ударная волна может распространяться не в усреднённой мезжвёздной среде, а в
среде, модулированной испущенным ранее звёздным ветром и характеризующейся значительно
большим значением напряжённости магнитного поля (как в звёздах Вольфа-Райе). Наконец, учёт
того, что потоковая неустойчивость ускоряемых частиц в предфронте ударной волны приводит к
появлению сильной магнитодинамической турбулентности, что также увеличивает
максимальную энергию ускоренных частиц. В итоге, нельзя исключить, что оценка может быть
доведена до Emax~1017.Z эВ.
Не вполне определённой выглядит сейчас ситуация с экспериментальным обнаружением
ускорения ударными волнами. В частности, анализ данных гамма-астрономии показывает, что не
всегда от близких остатков сверхновых наблюдаются гамма-вспышки высоких (~1 ТэВ) энергий
и, наоборот, существуют источники гамма-квантов высоких энергий, которые не видны ни в
оптическом, ни в рентгеновском диапазонах. Поэтому, возможно, что происхождение ГКЛ не
обусловлено исключительно вспышками сверхновых.
Нельзя не отметить, что расчётный спектр космичеcких лучей вплоть до максимально
достижимой энергии получается весьма жёстким (Е-2), так что для компенсации различия между
теоретическим (-2) и экспериментальным (-2.7) показателями спектра требуется значительное
смягчение энергетического спектра в процессе распространения космических лучей от
источников. Такое смягчение может быть достигнуто, если коэффициент диффузии D~E0.7, но это
предположение ведёт к чрезмерно сильной анизотропии ГКЛ при энергии меньше 1014 эВ, что
противоречит экспериментальным данным. Поэтому более естественной представляется
зависимость типа D~E0.3 (что, примерно, соответствует колмогоровскому спектру
турбулентностей) и учёт доускорения частиц в процессе распространения.
Можно констатировать, что при надлежащем выборе параметров инжекции (строгая
теория инжекции пока не создана), определяющих количество инжектируемых частиц и их
скорость, и учёте укручения спектра ГКЛ по сравнению со спектром в источниках за счёт
зависимости коэффициента диффузии от энергии, теория ускорения ГКЛ на ударных волнах
позволяет хорошо описать энергетические спектры протонов и ядер вплоть до энергии,
соответствующей излому в спектре.
Как отмечалось выше, взрывы сверновых могут происходить в ассоциациях О-, В- звёзд,
причём в этом случае взрывы оказываются коррелированными во времени и пространстве (время
жизни ассоциаций ~107 лет, число их достигает нескольких тысяч и частота взрывов оценивается
как 10-5–10-6 в год). Результатом является образование каверны (superbubble) с горячей плазмой
низкой плотности и размерами, достигающими сотен парсек. В этой каверне могут
генерироваться случайные магнитные поля с масштабами L до нескольких парсек и амплитудами
В в десятки микрогаусс. При энергиях, не превышающих Emax, ускорение осуществляется на
отдельных ударных волнах, а при энергиях, превышающих Emax, ускорение осуществляется
ансамблем ударных волн и магнитных полей, существующим в каверне (Быков и Топтыгин,
1995). Модель ускорения в ассоциациях сверхновых позволяет качественно объяснить спектр
ГКЛ в диапазоне энергий 1015–1018эВ. В данном подходе излом в энергетическом спектре ГКЛ
интерпретируется как смена режима ускорения.
5.3 Другие механизмы ускорения
Обсуждая взрывы сверхновых, следует отметить, что ускорение ГКЛ может иметь место
не только в их расширяющихся оболочках, но и при эволюции остатков взорвавшихся звёзд.
Источником энергии при этом является энергия вращения нейтронной звезды, достигающая (для
массы 1.4.МO и радиуса 106 см) величины 2·1050 эрг/(T10)2,
где T10 – период вращения в единицах
10 миллисек. Поскольку магнитное поле на поверхности звезды достигает 1012 Гс, нейтронная
звезда должна интенсивно терять энергию на магнитное дипольное излучение. Однако, так как
собственная частота плазмы в окрестности звезды много больше частоты вращения диполя,
распространения электромагнитной волны не будет, и процесс ускорения будет осуществляться
стоячей ударной волной. Оценка максимальной энергии оказывается ~(1017–1018).Z эВ, а время
эффективного ускорения оценивается примерно как ~10 лет (Gaisser, 1990).
Если нейтронная звезда является частью бинарной системы, то ускорение может также
происходить за счёт процесса аккреции – перетекания материи на поверхность нейтронной
звезды; в этом случае ускорение космических лучей обеспечивается гравитационной энергией.
В связи с тем, что в потоке КЛ имеются частицы с энергией, превосходящей 1020 эВ,
следует рассмотреть имеющиеся возможности для ускорения до таких энергий. Источником
частиц таких энергий, например, как отмечено в (Ptuskin, 1995), может быть процесс Ферми
первого порядка, но происходящий при столкновении галактик. Такое событие может
осуществляться с частотой примерно 1 раз за 5.108 лет. Максимально достижимая энергия
оценивается как 3.1019.Z эВ. К аналогичной оценке приводит и процесс ускорения ударными
волнами в струях, генерируемых активными ядрами галактик. Примерно столько же дают оценки
в моделях, связанных с рассмотрением ускорения ударными волнами, вызванными аккрецией в
галактических кластерах.
Наибольшие оценки можно получить в рамках модели
космологического происхождения гамма-всплесков. В этой модели в результате слияния
нейтронных звезд или черных дыр генерируются ультрарелятивистские ударные волны,
распространяющиеся в окружающей среде с лоренц-фактором Г~103. Энергия протона,
покоившегося в лабораторной системе, в результате отражения от фронта ударной волны
возрастёт до значения Г2Мс2. Таким образом, всего за один цикл энергия может возрасти в 106
раз, а после двух циклов достичь 1021 эВ.
Следует, однако, признать, что все оценки такого рода
остаются пока на полукачественном уровне, и вопросы получения необходимой интенсивности и
формы энергетического спектра КЛ сверхвысоких энергий еще ожидают своего решения.
Вскоре после обнаружения реликтового излучения Greisen (1966) в США и Зацепин и
Кузьмин (1966) в СССР одновременно пришли к выводу, что наличие реликтового излучения
самым серьезным образом должно сказаться на форме энергетического спектра КЛ предельно
высоких энергий, а именно: должно иметь место так называемое реликтовое (или чернотельное)
обрезание спектра в области предельно высоких энергий, называемое также GZK-эффектом.
Обсуждая проблему источников частиц с энергиями ≥5.1019эВ, превышающими порог GZK-
зффекта, необходимо иметь в виду, что расстояния, с которых частицы таких энергий могут
достигать Земли, ограничены, по-видимому, пределами местного Сверхскопления галактик.
Между тем, в нём нет галактик, имеющих какие-либо преимущества по сравнению с нашей
Галактикой с точки зрения возможностей для ускорения космических лучей. Но и с учётом
ограничения расстояний до источников остаётся достаточно много кандидатов на роль
источников частиц предельно высоких энергий.
Источники частиц предельно высоких энергий могут формироваться в рамках двух
принципиально различных групп сценариев (Nagano and Watson, 2000). Первая группа (bottom-
up) характеризуется наличием ускорения; при этом для преодоления ограничения расстояний до
источников иногда рассматриваются новые частицы, возникающие от обычных, но не
испытывающие потерь, приводящих к появлению GZK-предела. К этой же группе следует
отнести и модели, в которых существование значимых потоков частиц с энергиями выше порога
GZK-эффекта связывается с гипотетическим нарушением лоренц-инвариантности. Вторую
группу (top-down) составляют сценарии, не требующие ускорения, поскольку в них КЛ
возникают в результате распадов или аннигиляции так называемых топологических дефектов
(космические струны, монополи и т.д.), возникших в первые мгновения расширения Вселенной в
связи с фазовыми переходами, соответствующими отделению сильного взаимодействия от
электрослабого (при температуре 1015–1016 ГэВ) и затем отделению электромагнитного
взаимодействия от слабого (при температуре ~102 ГэВ).
6. ЗАКЛЮЧЕНИЕ
Исследования ГКЛ, продолжающиеся уже в течение нескольких десятилетий, не привели,
тем не менее, к закрытию «белых пятен» в этой интересной области, хотя многие вопросы были
успешно решены. Можно, например, констатировать, что накопленной информации вполне
достаточно для оценки вклада ГКЛ в радиационный фон на орбитах космических аппаратов.
Однако, по мере повышения энергии частиц, качество информации ухудшается. Недостаточная
светосила используемых установок на больших высотах и в космическом пространстве не
позволяет исследовать область 1014–1015 эВ прямыми методами с досаточной статистикой, не
говоря уже о том, чтобы продвинуться в область энергий, в которой происходит излом спектра
ГКЛ. Следствием такой ситуации является некоторая нестабильность экспериментальных
данных, которые в области выше 1012 эВ после осуществления новых экспериментов меняют
оценки интенсивности на 20–30%. Поэтому ближайщей и актуальной задачей остается создание
аппаратуры с большими геометрическими факторами, что позволило бы исследовать область
излома прямыми методами.
Использование косвенных методов (в первую очередь, изучение ШАЛ) позволило за
последнее десятилетие достичь определенного прогресса в исследовании энергетического
спектра ГКЛ, хотя проблема модельной зависимости результатов все еще существует. В
настоящее время вопрос о получении спектров отдельных групп ядер начал находить
экспериментальное решение. Можно с уверенностью предположить, что предстоящий в 2007
году запуск LHC коллайдера позволит получить информацию относительно адронных
взаимодействий вплоть до эквивалентной энергии ~1017 эВ и значительно сузить существующую
в настоящее время неопределенность, возникающую при экстраполяции феноменологических
моделей адронных взаимодействий в область сверхвысоких энергий.
Установки ШАЛ следующего поколения должны обеспечить прецизионные исследования
энергетического спектра и состава космических лучей в области 1017–1019 эВ. В этой области, по
видимому, происходит переход от ГКЛ к КЛ экстрагалактического происхождения.
Можно также надеяться, что в ближайшие годы будет окончательно решен вопрос о
существовании GZK-эффекта, на что сейчас имеются серьезные указания.
Литература
Астрофизика космических лучей. Под ред. В.Л.Гинзбурга. М.: Наука. 1990. 528 с.
Базилевская Г.А., Махмутов В.С., Свиржевская А.К., Cвиржевский Н.С., Стожков Ю.И.,
Долговременные измерения космических лучей в атмосфере Земли, Изв. РАН. Сер. физ., Т.69,
№6, С.835-837, 2005.
Байбурина С.А., Борисов А.С., Гусева З.М. и др. Эксперимент «Памир». Взаимодействия адронов
космических лучей сверхвысоких энергий. М.: Наука. 1984. Труды ФИАН. Т.154. С.3-217.
Бережко Е.Г., Ксенофонтов Л.Т., Состав космических лучей, ускоренных в остатках сверхновых,
ЖЭТФ, Т.116, С.737-759, 1999.
Бугаков В.В., Беляков С.А., Григоров Н.Л., Губин Ю.В., Калинкин Л.Ф., Кахидзе Г.П., Рапопорт
И.Д., Савенко И.А., Смирнов А.В., Ширяева В.Я., Шишков П.П., Шестериков В.Ф., Яковлев Б.М.,
Тригубов Ю.В., Принципы устройства научной аппаратуры для изучения космических лучей
высокой энергии на космической станции «Протон-4», Изв. АН СССР, Сер. физ., Т.34, С.1818-
1828, 1970.
Быков А.М., Топтыгин И.Н., Спектры частиц высоких энергий, генерированных в ОВ-
ассоциациях, Изв. РАН. Сер. физ., Т.59, №4, С.162-165, 1995.
Гинзбург В.Л., Сыроватский С.И., Происхождение космических лучей, М.: АН СССР. 1963. 384
с.
Грейзен К., Широкие атмосферные ливни. В сб: «Физика космических лучей». Под ред.
Дж.Вильсона. М.: ИЛ. 1958. Т.3. №.7-141.
Зацепин Г.Т., Кузьмин В.А., О верхней границе спектра космических лучей, Письма в ЖЭТФ,
Т.4, С.114-116, 1966.
Зиракашвили В.Н., Клепач Е.Г., Птускин В.С., Роговая С.И., Христиансен Г.Б., Чувильгин Л.Г.,
Диффузия космических лучей высоких энергий в Галактике, Изв. АН СССР. Сер. физ., Т.55,
С.2049-2051, 1991.
Киржниц Д.А., Чечин В.А., Космические лучи и элементарная длина, Письма в ЖЭТФ, Т.14,
С.261-262, 1971.
Крымский Г.Ф., Регулярный механизм ускорения заряженных частиц на фронте ударной волны.,
ДАН СССР, Т. 234, С.1306-1308, 1977.
Куликов Г.В., Христиансен Г.Б., О спектре широких атмосферных ливней по числу частиц,
ЖЭТФ, Т.35, С.635-640, 1958.
Лагутин А.А., Тюменцев А.Г., Энергетические спектры космических лучей в галактической среде
фрактального типа, Изв. РАН. Сер. физ., Т.67, №4, С.439-442, 2003.
Михайлов А.А., Правдин М.И., Поиск анизотропии космических лучей сверхвысоких энергий,
Письма в ЖЭТФ, Т.66, С.289-292, 1997.
Ныммик Р.А., Полуэмпирическая динамическая модель потоков частиц галактических
космических лучей. (версии ISO и 2005 г.), Модель Космоса, НИИЯФ МГУ, 2006
Христиансен Г.Б., Куликов Г.В., Фомин Ю.А., Космическое излучение сверхвысокой энергии,
М.: Атомиздат. 1975. 254 с.
Abbasi R.U., Abu-Zayyad T., Amman J.F., Archbold G.C., Bellido J.A., Belov K., Belz J.W., Bergman
D.R., Cao Z., Clay R.W., Monocular measurement of the spectrum of UHE cosmic rays by the FADC
detector of the HiRes experiment, Astropart.Phys., 23, pp.157-174, 2005.
Ambrosio M. for Macro Collaboration, Search for the sideral and solar diurnal modulations in the
MACRO muon data set, Phys. Rev. D 67, 042002 (2003).
Asakimori K., Burnett T.H., Cherry M.L., Chevli K., Christ M.J., Dake S., Derrickson J.H., Fountain
W.F., Fuki M., Gregory J.C., Hayashi T., Holynsky R., Iwai J., Iyono A., Johnson J., Kobayashi M.,
Lord J., Miyamura O., Moon K.,H., Nilsen B.S., Oda H., Ogata T., Olson E.D., Parnell T.A., Roberts
F.E., Sengupta K., Shiina T., Strausz S.C., Sugitate T., Takahashi Y., Tominaga T., Watts J.W., Wefel
J.P., Wilczynska B., Wilczynski H., Wilkes R.J., Wolter W., Yokomi H., and Zager E., Cosmic ray
proton and helium spectra: results from the JACEE experiment, Astrophys. J., Vol.502, pp.278-283,
1998.
Berezhko E.G., Particle acceleration in supernova remnants, Inv. Rapp. Highlight papers. 27th ICRC,
Hamburg, 2001, pp.226-233.
Bird D.J., Corbato S.C., Dai H.Y., Dawson B.R., Elbert J.W., Gaisser T.K., Huang M.H.A., Kieda D.B.,
Ko S., Larsen C.G., Loh E.C., Salamon M.H., Smith J.D., Sokolsky P., Sommers P., Stanev T., Tilav T.,
Tang J.k.k., Thomas S.B., The cosmic ray composition above 0.1 EeV, in Proc. 23th ICRC, Calgary,
1993, Vol.2, pp.38-42.
Bishop C.M., Neural networks for pattern recognition, Oxford Univ. press, 1995, 504 p.
Blobel V., Unfolding methods in high-energy physics experiments, CERN report 85-09, pp.88-127,
1985.
Bonino G., Castagnoli G. Cini, Cane D., Taricco C., Bhandari N., Solar modulation of galactic cosmic
ray spectra since the Maunder minimum, in Proc. 27th ICRC, Hamburg, 2001, Vol.9, pp.3769-3772.
Casaus J. behalf of the AMS.02 Collaboration. Cosmic ray astrophysics with AMS.02, in Proc. 28th
ICRC, Tsukuba, 2003,Vol.4, pp.2149-2152.
Cocconi G., About the most energetic cosmic rays, Astropart. Phys., Vol.4, pp.281-283, 1996.
Coleman S., Glashow S.L., High-energy tests of Lorentz invariance, Phys. Rev. D 59, 116008 (1999)
Cronin J.W., Cosmic rays: the most energetic particles in the universe, Rev. Mod. Phys., Vol.71, pp.165-
172, 1999.
D'Agostini G., A multidimensional unfolding method based on Bayes' theorem, Nucl. Instr. Meth.,
Vol.A362, pp.487-498, 1995.
Fukunaga K., Introduction to statistical pattern recognition, N-Y: Academic press, 1972, 592 p.
Gaisser T.K., Cosmic rays and particle physics, Cambridge Univer. press, 1990, 279 p.
Glasmacher M.A.K., Catanese M.A., Chantell M.C., Covault C.E., Cronin J.W., Fick B.E., Fortson L.F.,
Fowler J.W., Green K.D., Kieda D.B. et al, The cosmic ray energy spectrum between 1014 and 1016 eV,
Astropart. Phys., Vol.10, pp.291-302, 1999.
Glushkov A.V., Egorova V.P., Ivanov S.P., Knurenko S.P., Kolosov V.A., Krasilnikov A.D., Makarov
I.T., Mikhailov A.A., Olzoyev V.V., Pisarev V.V., Pravdin M.I., Sabourov A.V., Sleptsov I.E.,
Struchkov G.G., Energy spectrum of primary cosmic rays in the energy region of 1017 – 1020 eV by
Yakutsk array data, in Proc. 28th ICRC, Tsukuba, 2003, Vol.1, pp.389-392.
Gold R., On iterative unfolding method for response matrices., Argonne National Lab. Report.
ANL?6984., 1964. 39 p.
Greisen K., End to the cosmic-ray spectrum?, Phys. Rev. Lett., Vol.16, pp.748-750, 1966.
Haungs A., Rebel H., Roth M., Energy spectrum and mass composition of high-energy cosmic rays,
Rep. Prog. Phys., Vol.66, pp.1145-1206, 2003.
Hayashida N., Nagano M., Nishikawa D., Ohoka H., Sakaki N., Sasaki M., Takeda M., Teshima M.,
Torii R., Yamamoto T. et al. The anisotropy of cosmic ray arrival directions around 1018 eV, Astropart.
Phys., Vol.10, pp.303-311, 1999.
Heber B., Galactic and anomalous cosmic rays in the heliosphere, Invited, Rapporteur, and Highlight
papers. 27th ICRC, Hamburg, 2001, pp.118-135.
Heck D., Knapp J., Capdevielle J.N., Schatz G., Thouw T., Forschungszentrum Karlsruhe Report, FZKA
6019, 1998, 90 p.
Hillas A.M., Two interesting techniques for Monte-Carlo simulation of very high energy hadron
cascades, in Proc.17th ICRC, Paris, 1981, Vol.8, pp.193-196.
Hillas A.M., Shower simulation: Lessons from MOCCA, Nucl. Phys. B (Proc. Suppl.), 52B, 29-42,
1997.
H?randel J.R., On the knee in the energy spectrum of cosmic rays, Astropart. Phys., Vol.19, pp.193-220,
2003.
Kalmykov N.N., Khristiansen G.B., Cosmic rays of superhigh and ultrahigh energies, J. Phys. G: Nucl.
Part. Phys., Vol.21, pp.1279-1301, 1995.
Kalmykov N.N., Ostapchenko S.S., Pavlov A.I., Quark-gluon string model and EAS simulation
problems at ultra-high energies, Nucl. Phys. B (Proc. Suppl.), 52B, 17-28, 1997.
Kempa J., Cosmic ray studies by the emulsion method. – Techniques and results, Nucl. Phys. B. (Proc.
Suppl.), Vol.52B, pp.43-55, 1997.
Khristiansen G.B., Fomin Yu.A., Kalmykov N.N., Kulikov G.V., Motova M.V., Ostapchenko S.S.,
Sulakov V.P., Trubitsyn A.V., Primary cosmic ray mass composition at energies 1015 - 1017 eV as
measured by the MSU EAS array, Astropart. Phys., Vol.2, pp.127-136, 1994.
Klages H.O. for the KASCADE Collaboration, The extensive air shower experiment KASCADE – first
results, in Proc. 25th ICRC, Durban, 1997, Vol.8, pp.297-306.
Lloyd-Evans, Watson A.A., Anisotropy measurements above 1015 eV, Invited Talks. 8th Europ. CR
Symp. Ed. N.Iucci et al. Bologna, 1983, pp.81-97.
Nagano M., Watson A.A., Observations and implications of the ultrahigh-energy cosmic rays, Rev.
Mod. Phys., Vol.72, №3, pp.689-732, 2000.
Parker Е.N., The passage of energetic particles through interplanetary space, Planet. Space. Sci., Vol.13,
pp.9-17, 1965.
Ptuskin V.S., Rogovaya S.T., Zirakashvili V.N., Chuvilgin L.G., Khristiansen G.B., Klepach E.G.,
Kulikov G.V., Diffusion and drift of very high energy cosmic rays in galactic magnetic fields,
Astron.?Astroph., Vol.268, pp.726-735, 1993.
Ptuskin V.S., Cosmic ray propagation in the Galaxy, Inv. Rapp. Highlight papers. 24th ICRC, Rome,
1995, pp.755-764.
Ptuskin V.S., Zirakashvili V.N., On the spectrum of high-energy cosmic rays produced by supernova
remnants in the presence of strong cosmic-ray streaming instability and wave dissipation, Astron.?
Astroph., Vol.429, pp.755-765, 2005.
Roth M., Antoni T., Apel W.D. et al for KASCADE Collab., Determination of primary energy and mass
in the PeV region by Bayesian unfolding techniques, Nucl. Phys. B (Proc. Suppl.), Vol.122, pp.317-320,
2003.
Sakaki N., Chikawa M., Fukushima M., Hayashida N., Honda K., Inoue N., Kadota K., Kakimoto F.,
Kamata K., Kawaguchi S., Kawakami S., Kawasaki Y., Kawasumi N., Kusano E., Mahrous A.M., Mase
K., Mizobuchi S., Morizane Y., Nagano M., Ohoka H., Sakurai N., Sasaki M., Sasano M., Shinozaki K.,
Takeda M., Teshima M., Torii R., Tsushima I., Uchihori Y., Yamamoto T., Yoshida S., and Yoshii H.,
Cosmic ray energy spectrum above 3x1018 eV observed with AGASA, in Proc. 27th ICRC, Hamburg,
2001, Vol.1, pp.333-336.
Sciutto S.J., AIRES: A system for air shower simulations (Version 2.2.0), astro-ph/9911331 (216 pages)
Shibata T., Cosmic ray spectrum and composition; direct observation, Inv. Rapp. Highlight papers. 24th
ICRC, Rome, 1995, pp.713-736.
Shinozaki K., Chikawa M., Fukushima M., Hayashida N., Honda K., Inoue N., Kadota K., Kakimoto F.,
Kamata K., Kawaguchi S., Kawakami S., Kawasaki Y., Kawasumi N., Maze K., Mizobuchi S., Nagano
M., Ohoka H., Osone S., Sakaki N., Sakurai N., Sasaki M., Sasano M., Shimizu H.M., Takeda M.,
Teshima M., Torii R., Tsushima I., Uchihori Y., Yamamoto T., Yoshida S., and Yoshii H., Chemical
Composition of Ultra-high Energy Cosmic Rays Observed by AGASA, in Proc. 28th ICRC, Tsukuba,
2003, Vol.1, pp.401-404.
Simpson J.A., The cosmic radiation: reviewing the present and future, in Proc. 25th ICRC, Durban, 1997,
Vol.8, pp.4-23.
Wefel J.P., To higher energy: balloon and satellite investigations around the knee, J. Phys. G., Vol.29,
pp.821-830, 2003.
Wiebel-Sooth B., Biermann P.L., Meyer H., Cosmic rays. VII. Individual element spectra: prediction
and data, Astron.? Astroph., Vol.330, pp.389-398, 1998.
Переход на другие страницы проекта "СиЗиФ"
Для связи: lll@srd.sinp.msu.ru
поступило в СиЗиФ 05.10.06
|