Солнечно-земная    
Физика


Усманов А.В. Магнитогидродинамические модели солнечного ветра

Некоторые иллюстрации к результатам расчетов



Рис. 1. Конфигурация магнитного поля и распределение радиальной скорости в области расстояний 1-20 радиусов Солнца в начальном состоянии (а) и после 64 часов релаксации (б). Альвеновская кривая показана пунктирной линией и звуковая кривая - штрих-пунктирной.




Рис. 2. Результаты расчетов, представленные в виде карты изолиний радиальной (а) и меридиональной (б) скорости солнечного ветра в области от основания солнечной короны до расстояни 10 а. е. Желтым цветом показана застойная область, в которой тепловое давление плазмы уравновешивается силой Ампера и течение плазмы отсутствует.





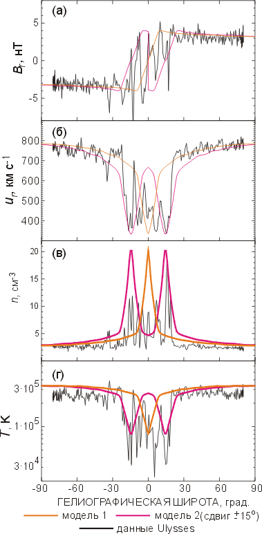
Рис. 3. Среднесуточные значения радиального магнитного поля (а), радиальной скорости (б), плотности (в) и плазменной температуры (г) по данным космического аппарата Ulysses (сплошные линии) в зависимости от гелиографической широты в сравнении с широтными профилями, рассчитанными по модели данной главы. Радиальная магнитное поле, плотности и плазменна температура, измеренные Ulysses, нормированы к 1 а.е.





Рис. 4. Изолинии постоянной величины радиальной компоненты магнитного поля Br (в гауссах) на поверхности Солнца в абсолютных гелиографических координатах. Это распределение используется в качестве граничного условия. Сплошными (пунктирными) линиями показаны изолинии положительного (от Солнца) и отрицательного (к Солнцу) поля; жирная линия прочерчивает нулевую изолинию. Max/Min - максимальное/минимальное значение поля в точках, отмеченных символами H/ L и D - шаг изолиний. Символами ``<'' и ``>'' указана гелиоширота проекции Земли в начале и конце солнечного оборота. На нижнем рисунке приведена топология магнитного поля во внутренней короне в результирующем стационарном состоянии. Точка наблюдения расположена в экваториальной плоскости на 160o гелиодолготы и соответствует положению Земли 16 июня 1991 в 02:43 UT. Поверхность Солнца покрыта сеткой гелиографических координат с шагом 10o; восток - слева. t - время релаксации, B0 - гелиоширота проекции Земли. Положение корональной дыры, определенное из фотографий Солнца в линии He 10830, показано заштрихованным контуром.





Рис. 5. Изолинии (а) постоянной радиальной скорости (в километрах в секунду) и (б) плотности, нормированной к соответствующим значениям в начальном состоянии, на расстоянии 9,85 радиусов Солнца в проекции на сферу с той же точки наблюдения, что и на рис. 4.



вернуться к тексту работы