| СОЛНЕЧНО-ЗЕМНАЯ ФИЗИКА |
|
И.А. Корнилов, Т.А. Корнилова, И.В. Головчанская
Полярный геофизический институт КНЦ РАН, г. Апатиты
АБСТРАКТ
По данным камер всего неба станций наземной поддержки системы спутников THEMIS мы изучили авроральный брейкап, в котором авроральные структуры
– предвестники брейкапа имели восточно-западную ориентацию, и обнаружили, что в их динамике в течение 30-40 минут до начала брейкапа (Т0)
проявляются признаки волнового процесса. В рассмотренном событии имело место магнитное сопряжение наземных оптических наблюдений с наблюдениями
четырёх спутников THEMIS, расположенных примерно вдоль хвоста магнитосферы, которые измеряли характеристики плазмы и энергичных частиц,
а также магнитное В и электрическое Е поля, с временным разрешение 3 с. Данные спутников, отфильтрованные в диапазоне периодов 12-120 с,
свидетельствовали о присутствии низкочастотной волновой активности в рассматриваемый период времени. Антикорреляция магнитного и плазменного
давления, а также синфазное изменение во времени производной δBx/δt и вертикальной компоненты скорости ионов, позволили отождествить
плазменные колебания с возмущениями баллонного типа и предположить, что имеет место связь между волновыми проявлениями в динамике авроральных
предвестников брейкапа и баллонными волнами в плазменном слое хвоста магнитосферы. Обсуждаются следствия полученных результатов для механизмов
триггирования суббури.
УДК 550.383
1. Введение
Со времен работы [Аkasofu, 1964] физика магнитосферной суббури – крупномасштабной реконфигурации,
сопровождающейся выделением большого количества запасенной магнитной энергии, была в значительной
степени объяснена, однако механизм перехода к взрывной фазе суббури до сих пор окончательно не
понят. В этом отношении оптические наблюдения начала аврорального брейкапа, и в особенности его
авроральных предвестников, представляют большой интерес, поскольку могут отражать процесс
триггирования перехода к магнитной диполизации в хвосте магнитосферы [Аkasofu et al, 2010].
В последние десятилетия большое внимание уделялось изучению предвестников брейкапа, проявляющихся
на изображениях камер всего неба как авроральные формы, вытянутые в направлении север-юг (N-S),
зарождающиеся на полярной границе аврорального овала, предположительно в связи с ее интенсификациями
(polar boundary intensifications), и продвигающиеся на более низкие широты [Rostoker et al, 1987; Henderson et al., 2002;
Nishimura et al., 2010]. Эти N-S формы обычно рассматриваются как ионосферные проявления быстрых плазменных потоков (BBFs) в
хвосте магнитосферы [Baumjohann et al., 1989], имеющих узкую азимутальную протяженность (1-3 RE , где RE – радиус Земли).
В то же время, хорошо известен другой тип авроральных предвестников брейкапа, когда вытянутые в направлении восток-запад (E-W)
авроральные дуги появляются на высоких широтах, распространяются в экваториальном направлении к предбрейкаповой дуге, приближаются и,
возможно, контактируют с ней, вызывая при определенных условиях авроральный брейкап [Oguti, 1973; Kornilova et al., 2006, 2008;
Mende et al., 2011; Kornilova et al., 2012]. События, в которых в авроральной динамике, предшествующей брейкапу, наблюдаются
исключительно E-W авроральные формы, были выделены в работе [Mende et al., 2011] в отдельный класс так называемых E-W событий.
Также [Mende et al., 2011] отмечают, что E-W авроральные дуги являются хорошо известным авроральным проявлением, предшествующим
переходу к взрывной фазе суббури.
Именно динамика E-W возмущений, предшествующих авроральному брейкапу, является предметом нашего
исследования. Далее мы представим наземные оптические наблюдения E-W события по данным камер всего
неба станций наземной поддержки спутников THEMIS (раздел 2), привлекая сопряженные спутниковые
измерения в магнитосфере, выясним, какие возмущения в плазменном слое могут быть поставлены им в
соответствие, и приведем аргументы в пользу того, что эти возмущения можно отождествить с
распространяющимися баллонными волнами (раздел 3). Значение результатов исследования для понимания
механизма триггирования суббури обсуждается в разделе 4.
2. ДИНАМИКА E-W ПРЕДВЕСТНИКОВ АВРОРАЛЬНОГО БРЕЙКАПА ПО НАЗЕМНЫМ ОПТИЧЕСКИМ НАБЛЮДЕНИЯМ
В этом разделе мы иллюстрируем основные черты динамики предвестников аврорального брейкапа
на примере события 5 марта 2008 г. (по оптическим наблюдениям брейкап начался в Т0 =06:04:00 UT).
С привлечением мозаик, составленных из изображений камер всего неба станций наземной поддержки
спутников THEMIS [http://themis.ssl.berkeley.edu/gbo/], мы убедились, что в течение ~40 минут,
предшествующих брейкапу, наблюдаемые авроральные формы имели E-W протяженность, в то время
как N-S структур не наблюдалось. Таким образом рассматриваемое событие относится к E-W
событиям по классификации Mende et al. [2011]. Мозаика в момент времени Т0 показана на рис. 1а.

Рис.1. Авроральные данные для события 5 марта 2008 г. а - Фрагмент мозаики, построенной по данным
наземной поддержки спутников проекта TEMIS. Положение проекций спутников Р1-Р4 отмечены разными
символами (круг, треугольник, квадрат, ромб, соответственно), б и в - стандартная и фильтрованная
кеограммы станции GILL, г - фильтрованные изображения сияний, полученные на станции GILL.
Оптические данные станций, составляющих мозаику, были отфильтрованы и скомпонованы в виде
avi-фильмов, что позволило проследить динамику слабых авроральных возмущений. (Avi-фильм со
сжатием времени примерно в 60 раз по сравнению с реальным временем, построенный по данным
канадской станции GILL в интервале 05:50-06:15 UT, можно посмотреть по адресу:
ftp://pgia.ru/kornilov/gill.avi).
Можно видеть, что отличительной чертой динамики
авроральных структур является развитие волновых возмущений, распространяющихся как в
азимутальном (вдоль E-W структур), так и в меридиональном (к экватору) направлениях.
Азимутальное распространение в нашем случае направлено преимущественно на запад, хотя
иногда наблюдается и распространение на восток. Волновые процессы в динамике авроральных
структур до начала брейкапа – часто наблюдаемое явление, примеры которого можно увидеть
и в других событиях (см., например, аvi-фильм по данным ст. Ловозеро
на ftp://pgia.ru/kornilov/220301l4.avi).
Построенные по данным находящейся в центре мозаики станции GILL (географические координаты
56.4 N, 265.3 E, магнитная полночь в 06:34 UT), кеограммы по N-S профилю, показаны на рис.1б
для исходных оптических наблюдений и на рис.1в с применением фильтрации. На фильтрованной
кеограмме отчетливо видна полярная кромка аврорального овала и ее периодические интенсификации,
а также авроральные возмущения (вытянутые в E-W направлении, как можно видеть из avi-фильма),
распространяющиеся с севера на более низкие широты. Некоторые из них отделяются из уярчений
полярной кромки.
На рис. 1г приведены характерные фильтрованные изображения камер всего неба за ~ 7 минут до и ~ 3
минуты после начала брейкапа. Изображения иллюстрируют более детально E-W предвестники брейкапа.
3. СРАВНЕНИЕ ОПТИЧЕСКИХ ДАННЫХ С СОПРЯЖЕННЫМИ НАБЛЮДЕНИЯМИ НА СПУТНИКАХ THEMIS
Для рассматриваемого события имело место магнитное сопряжение наземных оптических наблюдений
авроральных предвестников брейкапа с одновременными измерениями плазменных параметров, параметров
частиц, а также электрического и магнитного полей (с временным разрешением 3 с) спутниками THEMIS,
четыре из которых (Р1, Р2, Р3, Р4) располагались примерно вдоль хвоста магнитосферы.
Их проекции в Т0 = 06:04:00 UT, полученные с использованием модели магнитного поля Т96, нанесены
на мозаику (рис.1а). В это время GSM координаты спутников в магнитосфере были следующими:
P1 (-19.33, +4.91, -1.65)RE, P2 (-15.72, +4.85, -2.33)RE, P3 (-10.94, +3.95, -1.88)RE,
P4 (-10.53, +4.79, -1.85)RE.
Мы исследовали измерения полей и плазмы на спутниках Р1-Р4 в интересующий нас промежуток времени
(05:20-06:20 UT) и обнаружили, что датчики регистрируют низкочастотные плазменные колебания
(с периодом ~ 1-2 мин), в которых выделяются волновые пакеты большой амплитуды. Они отчетливо
видны на рис.2 в измерениях магнитного и плазменного давлений (показанных, соответственно,
серой и черной линиями), отфильтрованных в диапазоне периодов 12-120 с.
Вариации давлений δРмагн и δРплазм
оказываются в противофазе.
Рис.2. Вариации магнитного (серая линия) и плазменного (черная линия) давлений для четырех спутников
THEMIS в интервале 05:20-06:20 UT. Вертикальной линией отмечено начало брейкапа по оптическим
данным на ст. GILL. Данные отфильтрованы в полосе 12-120 с.

Рис.3. Флуктуации Bx а и Вz б компонент магнитного поля для спутника Р2; z-компонента скорости
ионов (черная линия) и δBx /δt (серая линия на рис. в для спутника Р2), а также Vx –компонента
скорости электронов для того же спутника. Аналогичные данные для спутника Р3 приведены на панелях
д, е, ж, з.
Кроме того, из рисунков 3в и 3ж следует, что производная δBx /δt (показана серыми линиями)
варьирует в фазе с z-компонентой скорости плазмы (черные линии), указывая на вертикальные движения
(flapping) плазменного слоя. Известно, что перечисленные признаки являются свойствами возмущений
баллонного типа [Miura et al., 1989; Ohtani and Tamao, 1993; Liu, 1997; Mazur et al., 2013].
Мы проверили, проявляют ли обнаруженные флуктуации признаки кинетической баллонной/перестановочной
неустойчивости, теоретически предсказанной Pritchett and Coroniti [2010, 2011] и экспериментально
подтвержденной в работе [Panov et al., 2012] для изогнутого токового слоя. Эта неустойчивость
приводит к нарастанию плазменных структур, сильно вытянутых в радиальном направлении, с большим
отношением продольного масштаба к поперечному, ионосферные проекции которых, вытянутые в
направлении север-юг (N-S авроральные формы). Однако известных признаков, характеризующих такие
структуры в вариациях плазменных параметров и полей [Pritchett and Coroniti, 2010, 2011], мы не
обнаружили. Кроме того, в сопряженных оптических наблюдениях отсутствуют N-S авроральные формы.
Таким образом мы пришли к заключению, что для интерпретации наблюдений в E-W событиях эта
неустойчивость не является подходящей.

Рис.4. Вариации интегрального потока энергии электронов в диапазоне энергий 200 эВ-30 кэВ 4а,
Bx 4б и Вz 4в компоненты магнитного поля и x-компонента скорости ионов 4г для спутника Р2.
Аналогичные данные для спутника Р3 приведены на панелях д, е, ж, з, соответственно.
Как следует из рис. 4в и 4ж, в рассматриваемый период времени, предшествующий брейкапу, Bz
компонента магнитного поля в плазменном слое не проявляет резких положительных скачков, которые
могли бы быть отождествлены с процессами диполизации. Таким образом можно сделать вывод, что
наблюдаемые E-Wструктуры не связаны с событиями диполизации/инжекции.
Из рис. 4а и 4д можно видеть, что исследуемые флуктуации существенно модулируют интегральный поток
энергии 100 эВ – 30 кэВ электронов (глубина модуляции составляет 30% - 40%), что должно проявляться
в вариациях аврорального свечения.
По данным спутников THEMIS было выяснено, какой была бы радиальная скорость баллонных возмущений в
предположении, что они просто дрейфуют с фоновой плазмой. Из рисунков 4г и 4з можно видеть, что
эта скорость (Vx ионов) направлена к Земле и не превышает ~ 20 км/c на обоих спутниках, что
оказывается в 1.5-2 раза меньше радиальной скорости, определенной по задержкам прихода возмущений на
более близкие к Земле спутники в предположении, что имеет место радиальное распространение.
Определенная
по задержкам прихода возмущений скорость составляет ~ 46.5 км/c между Р2 и Р3 и ~ 30.5 км/c между
Р3
и Р4. Отметим, что полученные значения скорости сравнимы со скоростью распространения к Земле
баллонных возмущений, выражение для которой было получено в работе [Golovchanskaya and Maltsev,
2005]
(1)
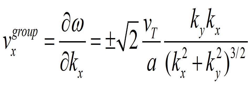
где - частота возмущений, - тепловая скорость протонов (по наблюдениям спутников THEMIS
составляет примерно 900 км/с), a – полутолщина токового слоя ( для возмущенных условий), , и
- поперечные компоненты волнового вектора возмущений. Если в соответствии с оптическими
наблюдениями задать длину волны возмущения в ионосфере ~ 20-25 км (0.25-0.3 RE в магнитосфере,
согласно проектированию по модели Т96) и отношение ?y/?x =2, то, согласно формуле (1), скорость
распространения возмущений к Земле составляет 30-40 км/с, что согласуется с приведенными выше
оценками.
4. ОБСУЖДЕНИЕ И ВЫВОДЫ
В данной работе, используя авроральные наблюдения, мы исследовали динамику авроральных структур
- предвестников аврорального брейкапа в промежуток времени ~ 30-40 минут до его начала в E-W
событии, согласно классификации Mende et al. [2011], и показали, что она проявляет характер
волнового процесса (ftp://pgia.ru/kornilov/gill.avi; ftp://pgia.ru/kornilov/220301l4.avi). С привлечением сопряженных измерений параметров плазмы, частиц и полей в плазменном слое спутниками THEMIS, волновая мода была идентифицирована как баллонная мода. Задавая пространственные масштабы баллонных возмущений в магнитосфере в соответствии с масштабами авроральных возмущений с учетом фактора сходимости магнитных силовых трубок, скорость их распространения к Земле была оценена как ~ 30-40 км/с.
Согласно теории баллонных волн в плазменном слое [Golovchanskaya and Maltsev, 2005], они могут
распространяться не только в азимутальном, но и в радиальном направлении, хотя и с меньшей
скоростью, и, следовательно, переносить баллонные возмущения в ближнюю к Земле область хвоста
магнитосферы. Это является важным, поскольку считается, что появление баллонного возмущения
(типа bubble или bubble-blob) в ближнем плазменном слое является дестабилизирующим фактором,
приводящим при определенных условиях к началу взрывной фазы суббури.
Если в предыдущих работах появление возмущений данного типа связывалось либо с «всплыванием»
лазменных пузырей [Erickson and Wolf, 1980: Baumjohann et al., 1989; Angeloupolous et al., 1992],
либо с развитием в ближнем хвосте баллонной/перестановочной неустойчивости
[Roux et al., 1991; Saito et al., 2008; Pritchett and Coroniti, 2010, 2011; Panov et al., 2012;
Kozelova and Kozelov, 2013], в нашей работе указывается еще на одну возможность, именно,
на распространение в эту область возмущений в виде баллонных волн.
Мы благодарим сотрудников ПГИ за проведение телевизионных наблюдений полярных сияний в обсерваториях
Ловозеро и Лопарская, V. Angelopoulos, S.W. Carlson, J. McFadden и S. Mende за использование
авроральных данных наземной поддержки спутников, а также NASA THEMIS контракт NAS5-02099 за
данные спутников THEMIS по полям и плазме. Работа поддержана грантом РФФИ № 12-05-00273,
программами 22П and 4П Российской Академии Наук.
Переход на другие страницы проекта "СиЗиФ"
|
| ![]() |
![]() |
|