|
ВВЕДЕНИЕ
За последние годы резко возрос интерес к проблемам солнечно-атмосферных связей. Это обусловлено как развитием ракетной и космической техники,позволяющей проводить исследования в
среде стратосферного и мезосферного резервуара атмосферы
Земли, так и накоплением экспериментальных фактов влияния
корпускулярной активности Солнца на погоду.
Выяснилось, что определенные типы перестройки барических
полей, циклоническая и грозовая активности, изменение содер-
жания озона и многих других атмосферных параметров связаны с
активностью Солнца, причем последняя оказывает влияние почти
на все параметры верхней, средней и нижней атмосферы.
В цепи солнечно-атмосферных связей должны быть звенья,
через которые передается влияние активности Солнца, в частности на формирование физических условий в стратосфере.
К сожалению, нам эти звенья либо не известны, либо изучены еще
слабо. Например, неизвестно приведет ли уменьшение (увеличение) аэрозольной компоненты в стратосфере и мезосфере к
общему похолоданию (потеплению) планеты.
В верхней атмосфере высыпающиеся из магнитосферы потоки
заряженных частиц стимулируют радиолизные реакции, в которых
генерируются аэрозоли таких веществ, как нитрит и нитрат аммония, кластеры гидроксония и др. Кластеры гидроксония могут включать каталитические реакции, перерабатывающие малые
составляющие вещества воздуха в микроскопические частички -
аэрозоли и кластеры. Образующиеся в этих процессах частицы
очень гигроскопичны, они могут эффективно стимулировать процессы освобождения скрытой энергии атмосферы на больших площадях планеты и этим самым, возможно, влиять на изменение
погоды.
Поэтому поиск и изучение управляющих и усилительных механизмов освобождения скрытой энергии в связи с корпускулярной активностью Солнца могут иметь большое практическое значение .
СВЯЗЬ КОРПУСКУЛЯРНОЙ АКТИВНОСТИ СОЛНЦА
С ИЗМЕНЕНИЕМ НЕКОТОРЫХ АТМОСФЕРНЫХ ПАРАМЕТРОВ
В настоящее время экспериментально установлено существование корпускулярно-атмосферных связей и влияние их на изменение метеорологических параметров.
Так. в работах [1,2] на большом экспериментальном материале был обнаружен эффект запаздывания
≈(3 + I)дней изменений барических полей относительно геомагнитной активности,
обусловленной корпускулярной активностью Солнца. Многим исследователям известен и такой эффект,как
эффект помутнения верхней
атмосферы после интенсивных полярных сияний. Так, в работе
[3] отмечается, что помутнение верхней атмосферы обусловлено
генерацией высыпающимися частицами сложных химических веществ, например нитрита аммония NH4 NO2 .
В работе [4]указывается, что существует много реакций и процессов, в которых
генерируются аэрозоли в верхней атмосфере. Многие из этих реакций заканчиваются генерацией водяных
кластеров (комплексов
водяных молекул, присоединенных к иону или заряженной частице), ведущих себя как заряженные аэрозоли.
Такие частицы после проникновения в тропосферу могут образовывать ядра
конденсации водяного пара, более эффективные, чем обычная
континентальная пыль и аэрозоли частичек дыма [5,6]. Как указывалось в работе [3] , они являются ядрами
конденсации для образования перистых облаков, которые неизменно следовали с
опозданием на 2 дня за сильными полярными сияниями.
Все это говорит о возможном влиянии корпускулярной активности Солнца на погода через генерацию аэрозолей
гигроскопичных веществ.
В работах[I,2] было установлено, что после выраженной
геомагнитной активности происходит весьма характерная перестройка барических полей зимой (рис. I),
причем характер
перестройки имеет определенную долготную зависимость.
Через 3 дня после геомагнитных возмущений в районе долгот, проходящих через регион Северо-Востока Сибири
(Норильск -
Чукотка ≈90°), происходит понижение давления на ≈2 мбар,
а в районе долгот, проходящих через регион Европа - Запад-
ная Сибирь (≈90°), - повышение давления на ≈2 мбар (рис.1),
Такое же перераспределение барических полей, по-видимому,
происходит и в западном полушарии.
Рис.I.Карта распределения изменений приземного давления
в связи с корпускулярной активностью Солнца
Чем обусловлено это распределение изменений давления в
связи с геомагнитной активностью?
Мы считаем, что при высыпании заряженных частиц, характеристики которых имеют выраженную долготную зависимость,
в авроральных широтах на высотах > 85 км в результате
радиолизных реакций образуются очень гигроскопичные вещества - аэрозоли кластеров гидроксония, нитрита и нитрата
аммония. Сильные ветры в верхней атмосфере (более 100 км/ч),
имеющие большие флюктуации примерно за сутки, разносят
эти вещества на большой площади с линейными размерами ≈ 2-3
тыс.км.
В более нижних слоях, на высотах 85-20 км , флюктуации
ветров с учетом сил Кориолиса одновременно усиливают перенос
этих веществ в нижние слои в процессе вертикальной турбулентной диффузии крупными несднородностями (вихрями).
В результате этих процессов в нижнюю стратосферу (и в
верхнюю тропосферу) через ≈ 2-3 дня попадут гигроскопичные
аэрозоли, которые могут участвовать в освобождении скрытой
энергии атмосферы. Все это и приводит к перераспределению
барических полей (рис.1).
Далее, учитывая западные зональные ветры в нижней стратосфере (50 км/ч), мы должны повернуть в западном
направлении заштрихованные зоны на ≈ 3 тыс.км. Это необходимо сделать для того, чтобы восстановить начальные
условия воздействия корпускулярных потоков на верхнюю атмосферу. В данном
случае, середина заштрихованной зоны попадет в регион долгот, одновременно проходящих через районы географического
и геомагнитного полюсов Земли (на рис.1 отмечены крестиками). Известно, что геомагнитный полюс отклонен от
географического на 11,5° в западное полушарие, что приводит к различию энергетических характеристик высыпающихся
частиц на
различных долготах.
ГЕОФИЗИЧЕСКИЕ ОСОБЕННОСТИ
ТИКСИНСКО-НОРИЛЬСКОГО АВРОРАЛЬНОГО
РЕГИОНА
Геофизические особенности аврорального и субаврорального региона на долготах около меридиана, проходящего через
географический и геомагнитный полюса, описаны в работе [?].
Как дополнение к ним, мы приводим еще одну особенность, которая должна объяснить крупномасштабные долготные эффекты
в некоторых характеристиках высыпаний заряженных частиц.
Рассмотрим геометрию магнитосферы в 12 и 24 ч местного времени по меридиану, проходящему через
географический и геомагнитный полюса, для северного полушария (долготы
Тикси и Норильск).
На рис. 2 заштрихованы области, из которых частицы могут вторгаться в верхнюю атмосферу.(Мантия и плазменный
слой - I и область П - около нейтрального слоя).
В 12 ч1-Т (меридианы региона Тикси - Норильск (ТН) ось магнитного диполя будет наклонена очень сильно в сторону хвоста
(пунктир). Это приведет к тому, что магнитные силовые линии А
и В приблизятся к линии Солнце-Земля 00'. При этом область I
над регионом .ТН увеличивается. В 24 ч!_Т (те же меридианы,ночь)
ось магнитного диполя отклонится от оси 00' . Магнитные силовые линии будут значительно отдалены от 00' . Как видно из
рис.2, теперь увеличится область П над регионом ТН.
Рис.2.
Меридиональный разрез
магнитосферы через геомагнитный и географический полюса в 12 ч LT
и 24 4LT:
ГП - географический полюс,
МП - геомагнитный полюс
Таким образом, зимой авроральный регион ТН всегда (и
днем и ночью) находится под зонами высыпаний, которым в магнитосфере соответствуют значительно большие объемы, чем над
авроральными регионами других долгот (например, европейские
и американские).
Для примера рассмотрим разрез магнитосферы по западноевропейским меридианам (ЗЕ).
По этим меридианам ось магнитного диполя занимает одно и то же положение относительно оси
00 (рис.3). Поэтому области I и П не меняются. И, как видно
на рисунке, их объем значительно меньше,чем над регионом
ТН. По-видимому, эта геофизическая особенность и обусловливает долготное перераспределение барических полей в связи с
солнечной активностью.
Обращает на себя внимание еще очень важный, на наш
взгляд, граничный эффект. Из рис.1 видно, что существует
резкая и очень протяженная граница перепадов давления вдоль
геомагнитного меридиана, проходящего через Норильск. Эта
граница, по-видимому, существует и в западном полушарии, в
районах, богатых скрытой энергией. Только неоднородность
подстилающей поверхности скрывает четкие границы эффекта
(большие водные пространства с различной температурой). На
таких границах могут возникнуть перемещения воздушных масс
поперек фронта. Зональные ветры, перемещая эти границы, могут образовать петли, которые впоследствии под действием
сил Кориолиса, в свою очередь, могут образовывать в стратосфере огромные вихри (циклоный антициклоны). 1Ь-видимому
,такие границы являются генераторами глобальной перестройки
атмосферных процессов.
Причем перестройка должна начинаться
в стратосфере по норильскому меридиану как в западном, так
и в восточном полушариях, но в нижних слоях она станет заметной только через несколько суток и будет смещена
в восточном направлении на » 45° (действие зональных ветров).
Рис.3.
Разрез магнитосферы по
западно-европейским
меридианам в 12 ч LT и 24 4LT
ГЕНЕРАЦИЯ ТЯЖЕЛЫХ ИОННЫХ КЛАСТЕРОВ
ПРИ ВЫСЫПАНИЯХ ЗАРЯЖЕННЫХ ЧАСТИЦ
Для изменения погоды необходимо не только перемещение
воздушных масс, но и стимулирование развития различных физико-химических процессов, способствующих освобождению
скрытой энергии атмосферы. Активные эксперименты в тропосфере
[8,9] показывают, что атмосфера всегда испытывает некоторый
недостаток в веществах, способствующих процессам конденсации
и сублимации пара.
Такие вещества могут образоваться в процессе радиолиза
воздуха при высыпании заряженных частиц. И действительно,
в интервале высот 85-65 км экспериментально наблюдается
большое содержание очень гигроскопичных веществ, таких как
кластеры гидроксония H3O+ (H2O)n.
Концентрация кластеров гидроксония на этих высотах ≈ I03.
В то же время оценки по химическим реакциям, в которых может
генерироваться это вещество, дают в 10*1000 раз меньшее количество [IO]

Такое большое различие может быть объяснено тем, что
при расчетах учитывались только химические реакции. Но в природе могут существовать и другие механизмы
генерации таких
веществ.
Ниже мы предлагаем возможный механизм генерации кластеров и аэрозолей, управляемый корпускулярной активностью
Солнца.
Рис.4.Высотный разрез изменений концентрации кластеров гидроксония:
—----расчетные значения;
--- - наблюдаемая концентрация
Под действием потоков высыпающихся частиц в верхней атмосфере на высотах > 85 км образуются ионы 02 и N0 .
В работах [ll,12j приводятся эти реакции.
Ионизация нейтральных составляющих происходит в реакциях:

Частички NО+ генерируются в ионно-молекулярных реакциях,
которые приводятся в работах [II, 13].
Как видно, баланс ионов 02 и N0+ определяется всей совокупностью реакций (1)-(22).
Частицы 02 и N0+ в свою очередь
запускают следующие реакции с образованием тяжелых ионов
[14,15]:
Большое время жизни ионов гидроксония позволяет им участвовать в крупномасштабных процессах перемешивания
воздушных масс в верхней атмосфере. Остальные тяжелые ионы из-за
малого времени жизни не могут, по-видимому, участвовать в
процессах переноса.

Для запуска реакций (23)-(33) необходимо, чтобы корпускулярные высыпания достигали более низких высот (ниже 100 км),
так как только на них имеется заметное количество молекул
воды, достаточное для включения этих реакций [1б] (рис.5).
Рис.5.Высотный разрез содержания молекул воды
Не всякие полярные сияния могут запустить такие реакции, а
только те, которые достигают более низких высот.
УСИЛИТЕЛЬНЫЙ МЕХАНИЗМ ГЕНЕРАЦИИ
МИКРОСКОПИЧЕСКИХ АЭРОЗОЛЕЙ И КЛАСТЕРОВ В СТРАТОСФЕРЕ
Кластер гидроксония очень гигроскопичен. Согласно [I7],
он имеет низкий энергетический порог для присоединения в реакции полимеризации молекул воды. Поэтому после попадания
в интервал высот 85-20 км, где молекул воды больше в 10 раз, чем
на высотах > 85 км, кластеры гидроксония будут укрупняться по
реакции [17]:
Тяжелый кластер гидроксония H3O+ (H2O)n обладает
каталитическими свойствами для запуска быстропереключающихся реакций [l8], для которых необходимы частички
NH3 и HNO5, в заметном количестве имеющиеся в интервалах высот 85-20 км [19,20]
Быстропереключающиеся реакции [18] будут эффективно перерабатывать некоторые малые составляющие вещества воздуха
в очень гигроскопичные вещества - аэрозоли нитрата аммония
и кластеры гидроксония:

В стратосфере имеется заметное количество некоторых соединений Сl , таких как NаСl ,НСl (продукты
испарения морской
пыли). С учетом этого реакция (36) может проходить и с участием НСl:

В реакциях образуются частички

и новые порции кластеров гидроксония H3O+ (H2O)n.
Кластеры гидроксония после восстановления своей прежней величины в реакции (34) запускают снова реакции (35)-(37).
Получается как бы цепная реакция, которая быстро увеличивает
концентрацию ядер конденсации водяного пара, а именно частичек
 .
Как видно из реакций (35)-(37), имеет место усилительный
эффект увеличения концентрации кластеров нитрата аммония и
гидроксония. Коэффициент усиления равен числу повторений реакций (35)-(37), которое определяется количеством молекул
NH3, HNO3, и НСl.
Согласно [I9,20j , число молекул NH3 , HNO3 и НСl в стратосфере составляет
10-8 - 10-7 долю от числа всех молекул
воздуха. Следует заметить, что при такой малой доли их количество огромно - 2,5.108 молекул/см3,
потому что на высотах 85-20 км количество молекул воздуха в среднем равно
2,5-1016 молекул/см3.
Следовательно, если нет быстрых стоков частиц NH4+(H2O)n
и H3O+ (H2O)n , то коэффициент усиления эффекта увеличения
концентрации ядер конденсации от H3O+ (H2O)n ожидается очень
большим (250 млн раз).
А какая концентрация ядер конденсации водяного пара должна заметно повлиять на освобождение скрытой энергии? Это
оценим из следующих соображений.
Концентрация частичек тумана в верхней кромке облаков
порядка 10 частичек/см3 [8]. Если предположить, что каждая
частичка тумана образовалась на одной частичке конденсирующегося вещества, то необходимое количество ядер
конденсации
будет равно 10 частичкам/см3.
Эти цифры весьма впечатляющи. Необходимо всего 10 частичек/см3, а космические факторы потенциально могут
продуцировать 250 млн на один кубический сантиметр.
МЕХАНИЗМЫ УВЕЛИЧЕНИЯ ВРЕМЕНИ ЖИЗНИ
МИКРОСКОШЧЁСКИХ АЭРОЗОЛЕЙ И КЛАСТЕРОВ В СТРАТОСФЕРЕ
Весь усилительный эффект обусловлен частичками H3O+ (H2O)n.
Согласно [17], ионы кластеров гидроксония рекомбинируются в
реакции

Как видно из реакции (38), время жизни частичек H3O+ (H2O)n
определяется, в основном концентрацией свободных
электронов. Реакция (38) уменьшает время жизни частичек
H3O+ (H2O)n на высотах > 85 км до порядка 10 мин [16,17|.
Но этого времени вполне достаточно для того, чтобы заметная доля частичек H3O+ (H2O)n,
участвуя в процессе турбулентной диффузии крупными вихрями, проникла с высот > 85 км в
интервал 85-20 км, где концентрация электронов на несколько порядков меньше, а следовательно, на несколько порядков
будет увеличено и время жизни H3O+ (H2O)n.
На высотах > 85 км имеется заметное количество ионов
атомарного кислорода О+, который в реакции [21] ионизирует

атомы водорода, в том числе и освободившиеся по реакции (38).
Ионы атома водорода, присоединяя молекулы воды, снова образуют кластеры гидроксония.
Все это приводит к значительному
увеличению времени жизни кластеров гидроксония. Участие частичек H3O+ (H2O)n
в реакциях (35)-(37) также приводит к увеличению жизни этих частичек. Реакции (35)-(37) могут
инициироваться и частичкамиNH4+(H2O)n. При этом образуются
кластеры гидроксония и новые порции частичек NH4+(H2O)n, которые
будут снова запускать эти реакции с образованием частичек
H3O+ (H2O)n и т.д.
В нижней стратосфере ионные кластеры можно рассматривать
как микроскопические заряженные аэрозоли воды. Заряженные
аэрозоли воды имеют большее время жизни, чем незаряженные.
Если такие частички способны стимулировать на своей поверхности какие-либо реакции, то каждая частичка может
участвовать в реакции много раз. Это означает, что даже при малой
концентрации таких аэрозолей, эффект от их присутствия может
оказаться большим.
И действительно, на поверхности аэрозолей воды в воздухе,
согласно работе [21], могут проходить следующие реакции

В этих реакциях образуются ионы водорода и свободные радикалы ОН, которые могут находиться как на поверхности,
так и в
воздухе вблизи аэрозолей. Ион Н+ может образовывать кластер
гидроксония. Далее, в стратосфере есть заметные концентрации
веществ Н02 и Н202 [1б]. Согласно работе [ 21], эти вещества, вступая в цепные
реакции

образуют ионы гидроксония, которые, присоединяя молекулы воды, превращаются в тяжелые кластеры гидроксония.
Кластеры гидроксония образуют микроскопические аэрозоли
воды, и процесс повторяется, т.е. микроскопические аэрозоли
воды генерируют такие же аэрозоли, причем в этом же процессе генерируются и новые порции кластеров гидроксония,
усиливающие этот процесс.
Все это также приводит к увеличению жизни частичек
H3O+ (H2O)n. Таким образом, весь процесс (1)-(44),
запускаемый корпускулярной активностью Солнца, заканчивается в нижней стратосфере генерацией микроскопических
аэрозолей воды,
которые могут быть ядрами конденсации водяного пара.
Исходя из работы [21], на поверхности аэрозолей воды могут генерироваться молекулы озона.

Реакция (45) - суммарная. Цепи её развиваются достаточно слож-
но, с выделением тепла 35 ккал/моль. Теплота выделяется и в
других реакциях.
Следовательно можно ожидать, что протеканию реакций
(1)-(45) должны сопутствовать эффект увеличения содержания
озона и стратосферные потепления через (2-3) дня после сильных высыпаний заряженных частиц. Наблюдения в стратосфере
подтверждают существование этого эффекта, но по измерениям,
например, над Якутском с 21 марта по 5 апреля 1974 г.,
были замечены изменения содержания озона в связи с появлением тормозного рентгеновского излучения (ТРИ) от
высыпающихся высокоэнергичных электронов [5].
Из рис.6 видно, что через 2-3 дня после высыпания энергичных электронов увеличивается содержание озона в атмосфере.
Наиболее сильно эффект проявился от высыпания электронов
22 марта 1974 г. (через I сутки) и слабее от высыпания 28-
29 марта (через 3 суток). Под силой эффекта здесь понимается скорость наступления изменений содержания озона. Так
24, 29 марта скорость изменения содержания озона была в
2-3 раза меньше, чем 22 марта.
Рис.6. Среднесуточные значения содержания озона. внизу отмечены моменты
регистрации высыпаний высокоэнергичных электронов (по ТРИ)
Высыпания электронов, связанные с характерными изменениями содержания озона, наблюдались одновременно в Тикси,
Жиганске, Якутске.
Из данных рис.6 можно оценить скорость распространения
процесса, обусловленного реакциями (1)-(45).
Взаимодействие с веществом воздуха высыпающихся высоко-
энергичных электронов заканчивается, в основном, на высотах
>85 км. Основная масса озона содержится на высотах II-
35 км. Это соответствует средней высоте 23 км. Значит из
соотношений времени между моментами высыпания электронов и
максимумом повышения содержания озона следует, что средняя
скорость распространения процесса, обусловленного реакциями
(1)-(45) по вертикали 22 марта равна 1,7 км/ч, 24 марта -
0,9 км/ч и 29-30 марта - 0,7 км/ч.
Из рис.6 можно оценить продолжительность времени жизни
кластеров гидроксония, обусловленную всей совокупностью
реакций (1-}-(45). Она будет равна продолжительности характерных изменений содержания озона - 1-3 суток.
ПЕРЕНОС МИКРОСКОПИЧЕСКИХ АЭРОЗОЛЕЙ
И КЛАСТЕРОВ В НИЖНКЮ АТМОСФЕРУ
Как уже отмечалось, частички

могут служить эффективными ядрами
конденсации водяного пара атмосферы.
Каким образом они проникают с высоты 85 км в нижние
слои атмосферы, хотя бы до высот 20 км? И причем весьма за
короткое время.
Экспериментально обнаружено, что эффект запаздывания
изменения метеорологических параметров от.высыпаний составляет (3±I)d [1,2].
Учитывая это время и интервал высот 85-20 км, и предполагая применимость процесса турбулентной диффузии, мы
можем оценить коэффициент диффузии. Он оказался
ным k=14,5 км^/ч. Такое значение необходимо для почти
полного перемешивания вещества воздуха в слое 85-20 км за
3 дня. Но с учетом усилительного эффекта (усиление 250 млн
раз) этот коэффициент может быть во много раз меньше.
Физические характеристики воздушного резервуара высот
85-20 км могут вполне обеспечивать и такой коэффициент диффузии (по порядку величины). Почему?
В слое 85-20 км дуют сильные ветры, средняя скорость которых « 60 км/ч. Причем из-за турбулентности эта скорость
претерпевает сильные флюктуации. Энергия турбулентного движения на высотах 85-20 км, по оценкам наблюдений за метеорными
следами, составляет 25% от кинетической энергии среднего потока [22, 23].
Откуда можно оценить среднюю амплитуду флюктуации скорости dU . Она будет равна
dU = + 0,5U (46)
Эти флюктуации обусловлены вихревыми неоднородностями, среднее время жизни которых 1ч.
Из-за флюктуации горизонтальной скорости возникают вертикальные ускорения под действием сил Кориолиса. Ускорение
Кориолиса равно

Откуда, подставляя в (49), (50) числовые значения, получим Д = 7,5 км2/ч, т.е. указанный выше коэффициент
диффузии
может быть по порядку величины обусловлен даже только силами
Кориолиса. Но в природе существуют и другие механизмы мощных
процессов перемешивания воздушных масс.
Таким образом в нижней атмосфере под действием высыпаний электронов вполне может увеличиваться содержание ядер
конденсации водяного пара, доставленных с высот 85 км до
20 км за 1-3 дня.
НЕКОТОРЫЕ ФИЗИЧЕСКИЕ СВОЙСТВА АЭРОЗОЛЕЙ ВОДЫ
В АТМОСФЕРЕ
Аэрозоли воды играют важную роль в механизмах освобождения скрытой энергии атмосферы [24]. В данной работе
рассматриваются физические процессы, которые влияют на способность
микроскопических аэрозолей и ионов к конденсации, коагуляции
и росту микроскопических аэрозолей воды. Поэтому мы кратко
остановимся на описании некоторых физических свойств аэрозолей воды.
Молекулы вещества, находящегося в газообразной среде,
под действием молекулярных сил притягиваются друг к другу и
группируются до тех пор, пока не образуют частицу в определенном агрегатном состоянии. Здесь вступают в силу законы,
характеризующие границу раздела двух сред. Из физической химии известно, что на поверхности раздела аэрозоля воды
в газообразной среде давление паров воды и адсорбированного газа
во много раз больше, чем в окружающей среде. Поэтому дальнейший рост аэрозоля будет замедлен и в принципе может
осуществиться обратный процесс, т.е. микроскопическая аэрозоль чистой воды может "высохнуть" даже во влажном воздухе
и, следовательно, не будет служить центром конденсации пара и эффективно участвовать в процессе коагуляции.
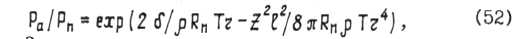
Этот эффект описывается известной формулой Дж.Томсона,
которая приводится во многих работах по метеорологии С8].
Для незаряженной капельки формула имеет вид

для заряженной

где Ра и Рn, - давление паров на поверхности капельки радиуса r и на плоской поверхности жидкости в газообразной среде;
z- заряд капельки;
ρ,δ - плотность и коэффициент поверхностного натяжения жидкости;
Rn - газовая постоянная паров воды.
В таблице приведены результаты расчетов по формулам (51),
(52) для аэрозолей воды различных размеров.

Как видно из таблицы, способность к коагуляции значительно выше из-за уменьшения давления паров оболочки (до 10 тыс.
раз) у заряженной капельки, чем у незаряженной.
Существует еще несколько факторов, препятствующих слиянию мелких незаряженных капелек, описанных в общей механике
аэрозолей, разработанной Фуксом [25]. В качестве иллюстраций
может служить регистрация заряженных частиц с помощью камеры
Вильсона. Попадая в камеру Вильсона, заряженная частица обозначает свой путь, образуя ионы в газовой среде,
пересыщенной парами жидкости. На ионах конденсируются мелкие капельки
которые "проявляют" траекторию частицы. Известно, что ионы
простых газов (кислород, азот, аргон), обычно применяемых
в качестве рабочих, имеют свойство быстро рекомбинировать.
Поэтому мелкие капельки жидкости, обозначающие траекторию
частицы, очень быстро становятся нейтральными. Для нейтральных капелек Рa/Рn>>1, и они по причинам, описанным выше,
должны высохнуть. Так в действительности и происходит: траек-
тории исчезают достаточно быстро даже в присутствии насыщенных паров. Отсюда ясно, что незаряженные микроскопические
аэрозоли чистой воды не могут служить ядрами конденсации и
эффективно стимулировать такой процесс, как коагуляция. Не
могут служить эффективными ядрами конденсации -и такие аэрозоли, как континентальная пыль (пыль пустынь) и частички
дыма [2б]. Только в воздухе, существенно пересыщенном парами воды, на таких частицах могут образоваться капельки. Но
в верхней тропосфере благоприятные условия пересыщения весьма
редки и имеют локальное значение.
Для заряженных же частиц, возникающих на ионах и появляющихся в процессе ионизации аэрозоля под действием излучений
или в реакциях переключения ионных кластеров, действует формула (52). Расчеты по этой формуле при Z = I показывают, что
способность к росту заряженных аэрозолей с размерами порядка
10-8 - 10-7 см возрастает примерно в I тыс.раз. Положительное влияние на рост аэрозолей
оказывает постояннее электрическое поле, которое организует ансамбль поляризованных
частиц, ориентированных друг к другу разноименными полюсами.
Согласно экспериментам с аэрозолями, в электрическом поле,
даже при небольшой напряженности (порядка 10 В/см) эффект
в их росте составляет более 100%.Для частичек воды с размерами 100-600 мк включение поля в 15 В/см увеличивает долю
частиц,
способных преодолеть энергетический барьер к коагуляции, с
30 до 90% [27], т.е. эффект разителен(в 3 раза).
Как показывают измерения над авроральными зонами, электрическое поле нижней атмосферы в связи с высыпаниями
заряженных частиц может достигать таких значений и даже превышать их (например ,~1000 В/м [28]). Этой величины вполне
достаточно, чтобы существенно усилить процессы роста и коагуляции микроскопических аэрозолей.
Высыпания заряженных частиц при увеличении ионизации атмосферы и эффектов в электрическом поле могут стимулировать
процессы роста и коагуляции аэрозолей, образование кластеров.
Подтверждением этому служит известный факт помутнения верхней атмосферы после интенсивных высыпаний заряженных
частиц
[3]. Кроме этого, имеются экспериментальные данные, свидетельствующие о наличии стабильного аэрозольного слоя
на высоте 70 - 75 км, близкой к высоте максимума ионизации за счет
высыпающихся электронов [29].
Таким образом, исследование заряженных тяжелых кластеров, которые могут образовать заряженные микроскопические
аэрозоли воды, представляет определенный научный интерес в
поиске управляющих звеньев в цепи солнечно-атмосферных связей.
О ВЛИЯНИИ КОСМИЧЕСКИХ ФАКТОРОВ НА ПОГОДУ
В атмосфере на высотах 0-20 км имеются огромные запасы
скрытой энергии в виде влажного воздуха, определенным образом распределенного по высоте. Причем большая часть этой
энергии атмосферы > 60% не реализуется, свободно пролетает
над континентами и не участвует в перестройке циркуляции
атмосферы. За сезон она изменяется от 6-107 Дж/м до
108 Дж/м2 [30,3l]. 6.107 Дж/м2 не освобождается в атмосферных процессах. Это эквивалентно
энергии от сжигания 12 т
бензина на гектар, которые непозволительно пролетают мимо.
Причем оставшееся изменение скрытой энергии в основном обусловлено сезонным переходом зима-лето. А на изменения
циркуляции атмосферы, связанные с перестройкой традиционного течения погоды, затрачивается незначительная во много раз
меньшая часть скрытой энергии (порядка 1%). Чтобы её освободить, необходимо создать вертикальное перемещение
воздушных
масс вверх в месте, где имеются в данный момент большие запасы скрытой энергии [б,9].
Как это происходит? При подъеме вверх влажный воздух охлаждается, и влага конденсируется в мелкие капельки (или
кристаллики льда). В этом процессе выделяется тепло ≈
1000 кал/г, которого в отдельных случаях бывает достаточно,
чтобы в дальнейшем такой процесс сам себя поддерживал. (Теплый воздух будет перемещаться вверх, вовлекая нижние,
более
влажные слои, богатые скрытой энергией и т.д.).
Скрытая энергия освобождается в различных спусковых механизмах. А для включения спускового механизма необходимо
затратить ничтожные количества энергии. В работах [30,3l]
указывается, что вызвать перестройку циркуляции атмосферы
могут порции энергии всего порядка 10-4 Вт/м, т.е. равной
энергии лампочки от карманного фонаря, распределенной на
гектар. По данной оценке атмосфера должна обладать большой
степенью неустойчивости, и освобождение скрытой энергии должно происходить достаточно эффективно в естественных
процессах.
Но, как известно, такого не происходит. Для освобождения скрытой энергии необходимы еще условия, повышающие
эффективность конденсации водяного пара атмосферы. И атмосфера
постоянно испытывает недостаток в таких условиях, потому
что в верхних слоях тропосферы влага воздуха не всегда конденсируется и собирается в облаках. Да и не всегда в облаках
происходит укрупнение капелек до размеров, достаточных для
выпадения осадков. Для реализации процесса необходима еще
определенная концентрация ядер конденсации (или сублимации)
водяного пара. Ядрами обычно служат аэрозоли, ионы различ-
ных веществ,' почти всегда в определенном количестве имеющиеся в воздухе.
Кроме того, атмосфера имеет слоисто-ячеистую структуру
[32,33]. Чтобы ее преодолеть, ядра конденсации (или сублимации) должны быть почти одновременно распределены на
большой площади размерами в тысячи километров и в достаточно
большом интервале высот. В противном случае выделившееся
при конденсации тепло не выведет атмосферу из состояния традиционного равновесия для освобождения скрытой энергии в
перемещениях воздушных масс. И это далеко не все.
Огромные воздушные массы имеют большую инерцию. Поэтому
для изменения традиционной циркуляции атмосферы необходимо
исследовать медленные процессы освобождения скрытой энергии
на большой площади и в больших объемах в размере континента
или всей планеты, не меньше.
Активные эксперименты в атмосфере пбказали, что существуют вещества (например, йодистое серебро), которое можно
вносить в атмосферу в виде аэрозолей для усиления процессов
сублимации и.конденсации водяного пара. Из экспериментального исследования видно, что, во-первых,
подтверждено существование спускового механизма освобождения скрытой энергии через аэрозоли, а во-вторых,
главное, что атмосфера испытывает голод по концентрации веществ,
способствующих конденсации пара. Причем недостаток таких
аэрозолей, которые служат эффективными ядрами конденсации,
атмосфера испытывает в любом месте от полюса до экватора, в
любое время суток, зимой и летом.
Перечисленные выше примеры стимулируют процессы быстрого
освобождения скрытой энергии, но которые имеют местное значение и не изменяют общего характера традиционной
циркуляции атмосферы. Чтобы рассеять за короткое время в масштабе
континента такие аэрозоли, не хватит йодистого серебра (потребуются многие миллионы тонн), да и всего количества
авиации, даже в обозримом будущем. Диффузия в тропосфере мала,
например, след от реактивного самолета за многие часы никогда не распространяется на весь небосклон.
На больших же высотах >100 км диффузия велика. Через
несколько часов на этих высотах рассеянные вещества могут
распространиться на большой площади. Следует заметить, что
радиолиз вещества воздуха может происходить и в процессе
вторжения в верхнюю атмосферу высокоэнергичных нейтральных
частиц Н, Не, 0 и др. В процессе перезарядки эти частицы
некоторое время бывают заряженными. И, как все энергичные
заряженные частицы, они образуют ионы (в те моменты времени,
когда они существуют в виде заряженных частиц).
Но в отличие от электронов они в моменты времени существования в виде нейтральных частиц в верхней заряженной
атмосфере могут проходить большие расстояния, пересекая силовые линии магнитного поля Земли. Благодаря этому диффузия
таких частиц будет огромной,по-видимому,на всех широтах долготного сектора,соответствующего высыпанию частиц из
магнитосферы. Кроме того,и сами частицы после потери энергии могут
участвовать в ионно-молекулярных реакциях.
Значительные потоки таких частиц наблюдаются в большом
интервале широт. Например, большие потоки измерены на средних широтах в работах [34,35]. Возможно усилительные и
управляющие механизмы генерации будут обусловлены именно этими частицами.
Поэтому очень важно исследовать геофизические законы,
определенным образом связанных с усилением процесса конденсации водяного пара в атмосфере и физическими особенностями
околоземного космического пространства.
Заметим, что грозовое облако с дождем в стратосфере никогда не возникнет (не хватит влаги в стратосфере).
Но остатки воды на этих высотах могут быть использованы природой
для генерации микроскопических аэрозолей - очень гигроскопичных веществ или использованы в процессах,
перерабатывающих вещество воздуха в аэрозоли.
ЗАКЛЮЧЕНИЕ
Круг вопросов, относящихся к проблеме поиска управляющего механизма солнечно-атмосферных связей, чрезвычайно широк.
В связи с этим данная работа поисковая и подчинена только одной задаче: попытаться осветить возможность разработки
физико-
химического механизма воздействия корпускулярной активности
Солнца на атмосферу.
Для этой цели автор использовал уже известные и обсуждаемые в научной литературе (по тому или иному поводу) реакции
и процессы.
Предлагаемая схема не является законченной, она может
быть дополнена количественными расчетами или вообще изменена, но, тем не менее, вся совокупность обсуждаемых
реакций
и процессов, по мнению автора, указывает на реальную возможность существования физико-химического механизма
воздействия корпускулярной активности Солнца на атмосферные процессы.
За последнее десятилетие в исследовании проблемы солнечно-атмосферных связей имеется определенный прогресс.
В частности, по наблюдаемому экспериментальному материалу атмосферных параметров подтверждена реальность воздействия
корпускулярной активности Солнца на атмосферу. Но в этой проблеме
очень много вопросов и один из них: существуют ли управляющие механизмы солнечно-атмосферных связей?
Дальнейшие теоретические и экспериментальные исследования помогут лучше изучить хотя бы отдельные стороны этой
большой проблемы. При этом особый интерес представляет поиск управляющих звеньев в цепи солнечно-атмосферных связей.
Очень заманчивой является потенциальная возможность
через управляющие звенья использовать энергию Солнца в практических целях.
ЛИТЕРАТУРА
I. Мустель Э.Р. О реальности воздействия солнечных корпускулярных потбков на нижние слои земной
атмосферы, - В кн.: Научные информации. И., 1972, вып.24, с.5-55.
2. М у с т е л ь Э.Р. О взаимодействии солнечных корпускулярных потоков с нижними слоями земной атмосферы
- Труды симпозиума по солнечно-корпускулярным эффектам в тропосфере и стратосфере. -Л., Гидрометеоиздат, 1973, с.4-12.
3. Dauviller A. Activite Auroral Albedo Planitarie. Comptes
rendus hebdomadaires des seances debL1academie des sciences. 1959,
Vol.248, № 12, p.174O-1743.
4. Castleman A.W. Aerosol Chemistry. Physics and Chemistry of
Upper Atmosphere. Dordrecht-Holland. 1973, p.133-157.
5. Скрябин Н.Г., Соколов В.Д.,. Моисеев В.Г. Изменение содержания озона и аэрозолей на больших
высотах в связи с электронными высыпаниями. - В кн.: Связь
физических процессов в ионосфере и магнитосфере Земли с параметрами солнечного ветра. Якутск, изд. ЯФ СО АН СССР,
1977, с. 63-67.
6. Скрябин Н.Г. Перспективы исследований эффектов
взаимодействия корпускулярных излучений с веществом верхних
слоев атмосферы. - БНТИ ЯФ СО АН СССР. Якутск, 1977, октябрь, с.8-10.
7. Шафер Ю.Г. Некоторые результаты фундаментальных
геокосмофиэических исследований в ИКФИА и их прикладное значение. - В кн.: Физика верхней атмосферы высоких широт.
Якутск, изд. ЯФ СО АН СССР, 1975, с.5-21.
8. Матвеев Л.Г. Основы общей метеорологии, физика атмосферы. -Л., Гидрометеоиздат, 1965. 876 с.
9. Качурин Л.Г. Физические основы воздействия на
атмосферные процессы. Л.; Гидрометеоиздат, 1973. 366 с.
10. Ferguson JS.E. and Fehsenfeld P.O. Water Vapor Ion Cluster
Concentrations in the D-Eegion. J.Geophys.He's., 1970, Vol.74,
ie 24, 1969, p.5743-5751.
11. С о ч н е в В.Г. .Туликов В.Ф. .Яковлев С.Г. Некоторые аспекты воздействия корпускулярного
излучения на атмосферу Земли в спокойные и возмущенных условиях. - В кн.: Эффекты солнечной активности в нижней
атмосфере. Л., Гидрометеоиздат, 1977, с.47-54.
12. Janes R.A., Hees M.H. Time Dependent Studies of the
Aurora-I. Ion Density and Composition,- Planet.Space Sci., 1973i
Vol.21, т 4, p.537-557.
13. Д а н и л о в А.Д. .Власов М.Н. Фотохимия
ионизированных и возбужденных частиц в нижней ионосфере.
Л., Гидрометеоиздат, 1973. 38 с.
14. Ferguson TS.E. Review of Laboratory Measurements of Aeronomic Ion-Neutral Reactions. Ann.Geophys.,
19?2, Vol.28, p.389-395.
15. Ferguson E.E. and Fehsenfeld F.C. Water Vapor Ion Cluster
Concentrations In the D-Region. J.Geophys.Res., 1969, Vol.74,
№. 24, p.57*3-5751.
16. Мак-Ивен М. .Филлипс Л. Химия атмосферы. М., Мир, 1978. 376 с.
17. Biondi М.А. Canad. J. Chemistry, 1969. 47,17р.
(Русский перевод М.А.Биоиди). - В кн.: Лабораторные исследования агрономических реакций. Л., Гидрометеоиздат, 1970.
18. Castleman A.U. Aerosol Chemistry. Physics and Chemistry
of Upper Atmosphere. Dordrecht-Holland, 1973, p.143-157.
19. К a p о л ь И.Л. Высотные самолеты и стратосфера.
Л., Гидрометеоиздат, 1974. 48 с.
20. Hedy T.V., McKay H.A.C., Pilbeam A., Searg'ill D. Ammonia
and Ammonium Sulphate in the Troposphere over the United Kingdom. J.Geophys.Res., 1970, Vpl.75, p.2317-2322.
21. P е ш е т о в В.Д, Гипотеза аэрозольного происхождения атмосферного озона. - В кн.: Атмосферный озон
(Результаты работ Международного геофизического года в СССР). Конференция 28-31 октября 1959 г. М., Мзд-во МГУ, 1961,
с.10З-119.
22. Ж.В а н М и г е м. Энергетика атмосферы. Л.,
Гидрометеоиздат, 1977. 328 с.
23. Р о у п е р Р. Определение ветров по радиолокации
метеорных следов в южном полушарии. - В кн.: Термосферная
циркуляция. М., Мир, 1975, с.178-196.
24. Ч а л м е р с Дж.А. Атмосферное электричество.*
Л., Гидрометеоиздат, 1974. 66 с.
25. Фукс Н.А. Механика аэрозолей. М., Изд-во АН
СССР, 1955. 458 с.
26. A i t k e n J. On Dust, Fog and* Clouds. Trans.S.Soc.,
Edinb., 1880, Vol.30, p.337-368.
27. G о у в г G., McDonald I., BaerF., Braham
E. Effects of Electric Fields on Water Droplets Coalesence.
J.Meteor., 1960, Vol.17, p.472.
28. Жулин И.А., Землянкин Г.А., Канониди Х.Д. и др. Авроральные эффекты в медленных вариациях и
короткопериодических колебаниях градиента потенциала
атмосферного электричества магнитосферного происхождения. -
Геомагнетизм и аэрономия, 1977, т.ХУЛ, № 5, с. 879-884.
29. Ш а м а х о в Б.Ф., Б р а г и н Ю.А., К о ч e e в
А.А. Прямые исследования состава ионов в мезосфере и верхней стратосфере. - Космические исследования, 1975, т.ХШ,
вып. 6, с. 940-942.
30. Сазонов Б.И. Энергетика атмосферных процессов и космические лучи. - В кн.: Солнечно-атмосферные связи
в теории климата и прогнозах погоды. Труды I Всесоюзного
совещания 30 октября - I ноября 1972 г. Л,,Гидрометеоиздат,
1974, с.248-258.
31. Д р у ж и н И.И., Сазонов Б.И., Ягодинс к и и В.Н. Космос-Земля, прогнозы. М.; 1974. 28Х с.
32. StommelH. Entralnment of Air into a Cumulus Cloud.
J.Meteorol., 1947, Vol.4, p.91-94.
33. Starr V.P., A n a t i D.A. and Saistain D.A.
Effectiveness of Controlled Convection in Producing Precipitation. J.Geophys.Res., 1974, Vol.79f № 27, p.4047-4052.
34. Martynkevi ch G.M., В у u г e E.D. Ar/N2 and
0/N2 Ratios as Results and Criteria of Disturbance in the Lower
Thermosphere.of Middle and High Latitudes. Hydrometeorological
Service of the USSR. IAGA/IAMAP General Scientific Assembly,
Seattle, Washington, USA, 25-27, August 1977, p.20.
35. Мартынкевич Г.М. Энергетика, химия и динамика верхней атмосферы. - Б кн.: Третье Всесоюзное
совещание по исследованию динамических процессов в верхней атмосфере (Обнинск,, ноябрь 1979 г.). Тезисы докладов.
Обнинск,1979, с.4-5.
| |